Официальное опубликование правовых актов
ОФИЦИАЛЬНОЕ ОПУБЛИКОВАНИЕ
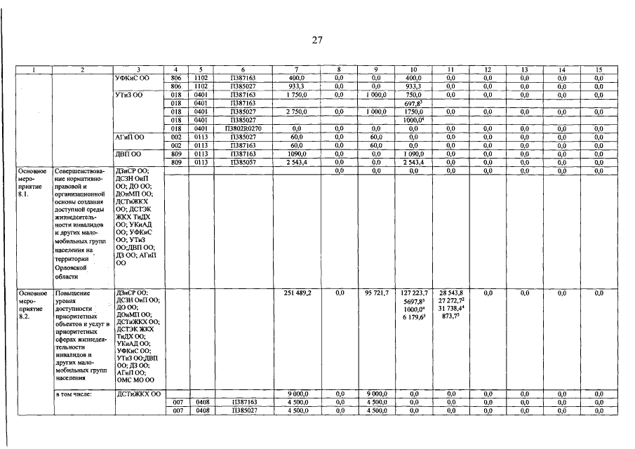
Постановление Правительства Орловской области от 27.10.2016 № 425
"О внесении изменений в постановление Правительства Орловской области от 19 декабря 2012 года № 479 "Об утверждении государственной программы Орловской области "Социальная поддержка граждан в Орловской области"
Номер опубликования: 5700201610280001
Дата опубликования: 28.10.2016
Страница №121 из 164:
Увеличить