Официальное опубликование правовых актов
ОФИЦИАЛЬНОЕ ОПУБЛИКОВАНИЕ
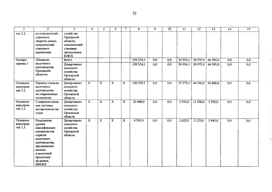
Постановление Правительства Орловской области от 12.05.2016 № 156
"О внесении изменения в постановление Правительства Орловской области от 13 декабря 2013 года № 427 "Об утверждении государственной программы Орловской области "Развитие приоритетных подотраслей агропромышленного комплекса Орловской области"
Номер опубликования: 5700201605170011
Дата опубликования: 17.05.2016
Страница №33 из 59:
Увеличить