Официальное опубликование правовых актов
ОФИЦИАЛЬНОЕ ОПУБЛИКОВАНИЕ
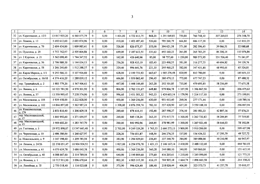
Постановление Правительства Орловской области от 20.02.2016 № 54
"Об утверждении краткосрочного плана реализации областной адресной программы "Капитальный ремонт общего имущества в многоквартирных домах на территории Орловской области" в 2016 году"
Номер опубликования: 5700201602250003
Дата опубликования: 25.02.2016
Страница №19 из 25:
Увеличить