Официальное опубликование правовых актов
ОФИЦИАЛЬНОЕ ОПУБЛИКОВАНИЕ
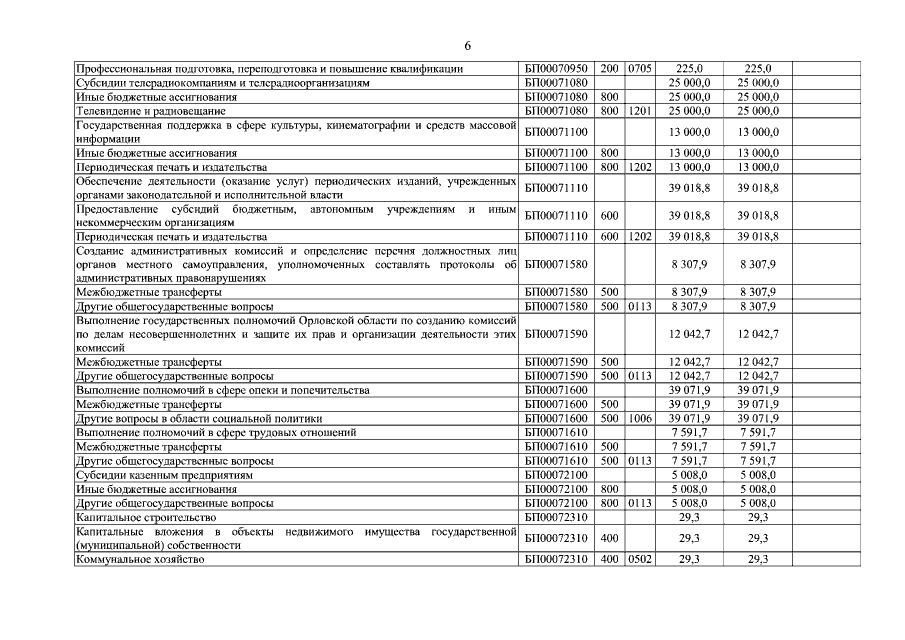
Закон Орловской области от 22.12.2015 № 1891-ОЗ
"Об областном бюджете на 2016 год"
Номер опубликования: 5700201512240002
Дата опубликования: 24.12.2015
Страница №303 из 402:
Увеличить