Официальное опубликование правовых актов
ОФИЦИАЛЬНОЕ ОПУБЛИКОВАНИЕ
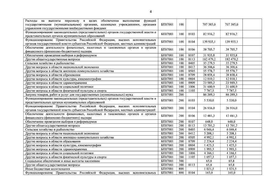
Закон Орловской области от 10.11.2015 № 1875-ОЗ
"О внесении изменений в Закон Орловской области "Об областном бюджете на 2015 год и на плановый период 2016 и 2017 годов"
Номер опубликования: 5700201511130032
Дата опубликования: 13.11.2015
Страница №491 из 640:
Увеличить