Официальное опубликование правовых актов
ОФИЦИАЛЬНОЕ ОПУБЛИКОВАНИЕ
Закон Орловской области от 10.11.2015 № 1879-ОЗ
"О внесении изменений в Закон Орловской области "О программе наказов избирателей депутатам Орловского областного Совета народных депутатов на 2015 год"
Номер опубликования: 5700201511130029
Дата опубликования: 13.11.2015
Страница №3 из 4:
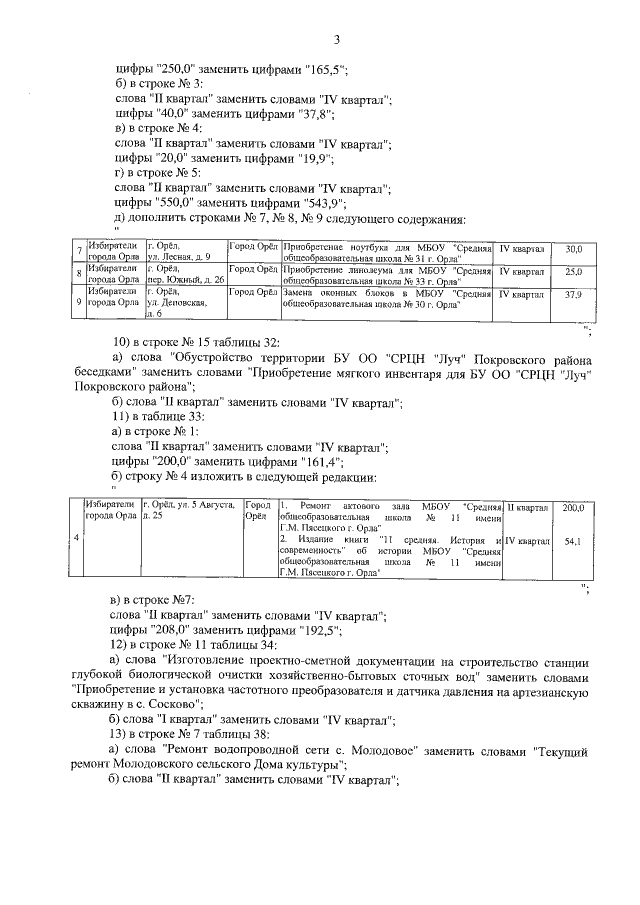
Увеличить