Официальное опубликование правовых актов
ОФИЦИАЛЬНОЕ ОПУБЛИКОВАНИЕ
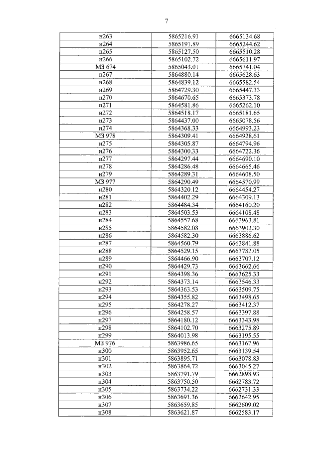
Закон Орловской области от 07.07.2015 № 1817-ОЗ
"О внесении изменений в Закон Орловской области "О статусе, границах и административных центрах муниципальных образований на территории Шаблыкинского района Орловской области"
Номер опубликования: 5700201507080012
Дата опубликования: 08.07.2015
Страница №15 из 58:
Увеличить