Официальное опубликование правовых актов
ОФИЦИАЛЬНОЕ ОПУБЛИКОВАНИЕ
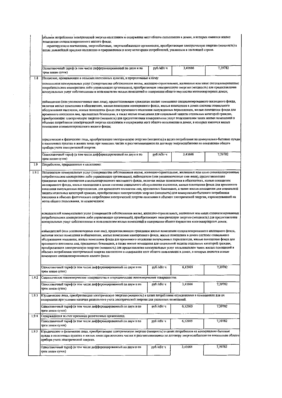
Приказ Департамента Оренбургской области по ценам и регулированию тарифов от 24.12.2025 № 236-э/э
"Об утверждении единых (котловых) тарифов на услуги по передаче электрической энергии по сетям Оренбургской области на 2026 год"
(Зарегистрирован 26.12.2025 № 0210/2025/18)
Номер опубликования: 5601202512290010
Дата опубликования: 29.12.2025
Страница №23 из 24:
Увеличить