Официальное опубликование правовых актов
ОФИЦИАЛЬНОЕ ОПУБЛИКОВАНИЕ
Приказ Инспекции государственной охраны объектов культурного наследия Оренбургской области от 05.12.2025 № 01-08-226
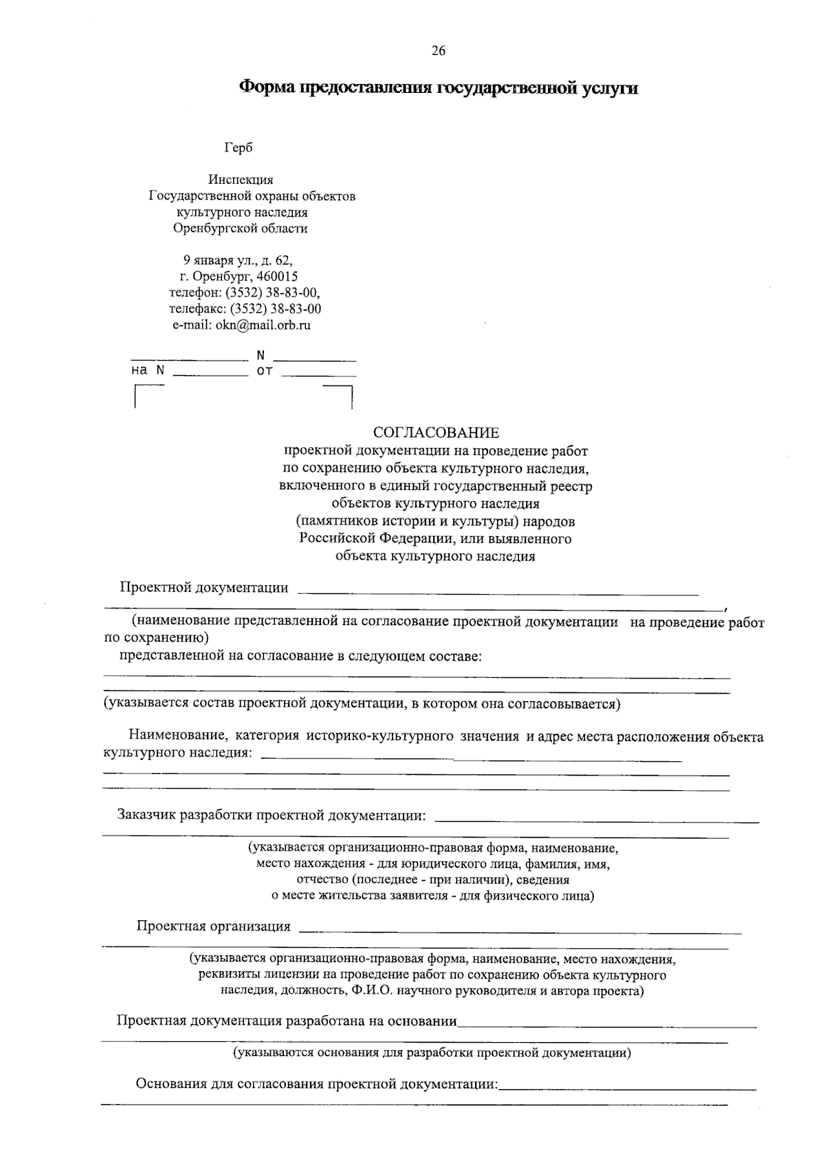
"Об утверждении административного регламента предоставления инспекцией государственной охраны объектов культурного наследия Оренбургской области государственной услуги "Согласование документации, обосновывающей проведение работ по сохранению объекта культурного наследия"
(Зарегистрирован 05.12.2025 № 0166/2025/22)
Номер опубликования: 5601202512110003
Дата опубликования: 11.12.2025
Страница №26 из 27:
Увеличить