Официальное опубликование правовых актов
ОФИЦИАЛЬНОЕ ОПУБЛИКОВАНИЕ
Приказ Министерства природных ресурсов, экологии и имущественных отношений Оренбургской области от 30.10.2025 № 455
"Об утверждении Административного регламента предоставления государственной услуги "Предоставление информации об объектах государственного имущества Оренбургской области"
(Зарегистрирован 31.10.2025 № 0078/2025/06)
Номер опубликования: 5601202511010016
Дата опубликования: 01.11.2025
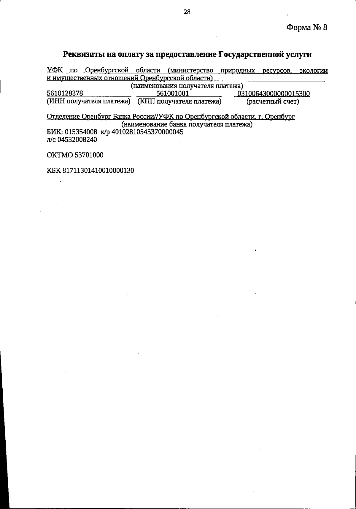
Страница №28 из 28:
Увеличить