Официальное опубликование правовых актов
ОФИЦИАЛЬНОЕ ОПУБЛИКОВАНИЕ
Распоряжение Министерства архитектуры и пространственно-градостроительного развития Оренбургской области от 07.10.2025 № 19-р
"Об утверждении документации по планировке территории "Комплексное развитие незастроенной территории площадью 6,8 га в границах земельных участков с кадастровыми номерами: 56:44:0109001:7793, 56:44:0109001:7792, 56:44:0109001:90"
(Зарегистрирован 08.10.2025 № 0064/2025/02)
Номер опубликования: 5601202510100002
Дата опубликования: 10.10.2025
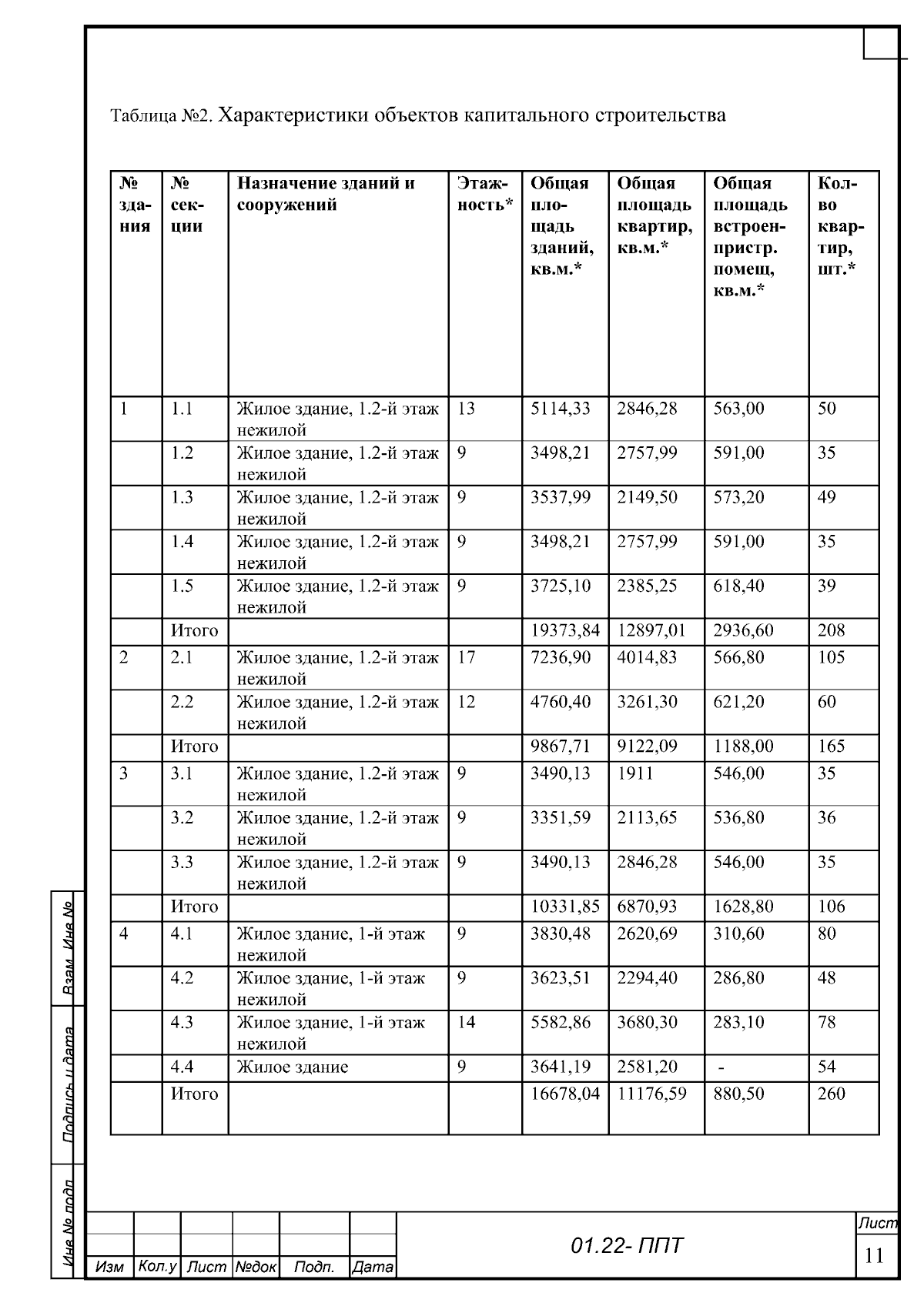
Страница №13 из 38:
Увеличить