Официальное опубликование правовых актов
ОФИЦИАЛЬНОЕ ОПУБЛИКОВАНИЕ
Распоряжение Министерства архитектуры и пространственно-градостроительного развития Оренбургской области от 11.06.2025 № 13-р
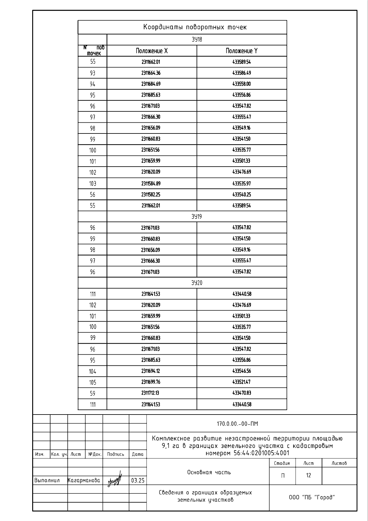
"Об утверждении проекта планировки территории и проекта межевания территории: "Комплексное развитие незастроенной территории площадью 9,1 га в границах земельного участка с кадастровым номером 56:44:0201005:4001"
(Зарегистрирован 17.06.2025 № 0041/2025/02)
Номер опубликования: 5601202506180002
Дата опубликования: 18.06.2025
Страница №25 из 31:
Увеличить