Официальное опубликование правовых актов
ОФИЦИАЛЬНОЕ ОПУБЛИКОВАНИЕ
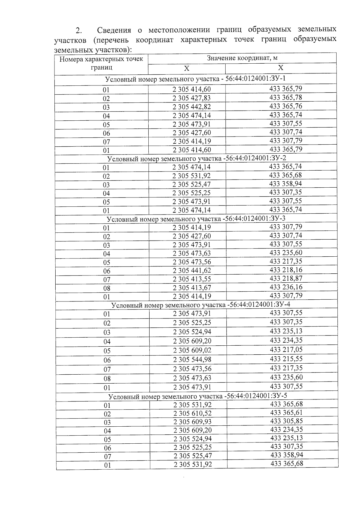
Распоряжение Министерства архитектуры и пространственно-градостроительного развития Оренбургской области от 09.01.2025 № 1-р
"Об утверждении проекта межевания территории, ограниченной ул. Рокоссовского, ул. Терешковой и земельными участками с кадастровыми номерами 56:44:0124001:135, 56:44:0124001:5988, 56:44:0124001:5991"
(Зарегистрирован 10.01.2025 № 0001/2025/02)
Номер опубликования: 5601202501160025
Дата опубликования: 16.01.2025
Страница №4 из 7:
Увеличить