Приказ Департамента Оренбургской области по ценам и регулированию тарифов от 16.12.2024 № 219-в
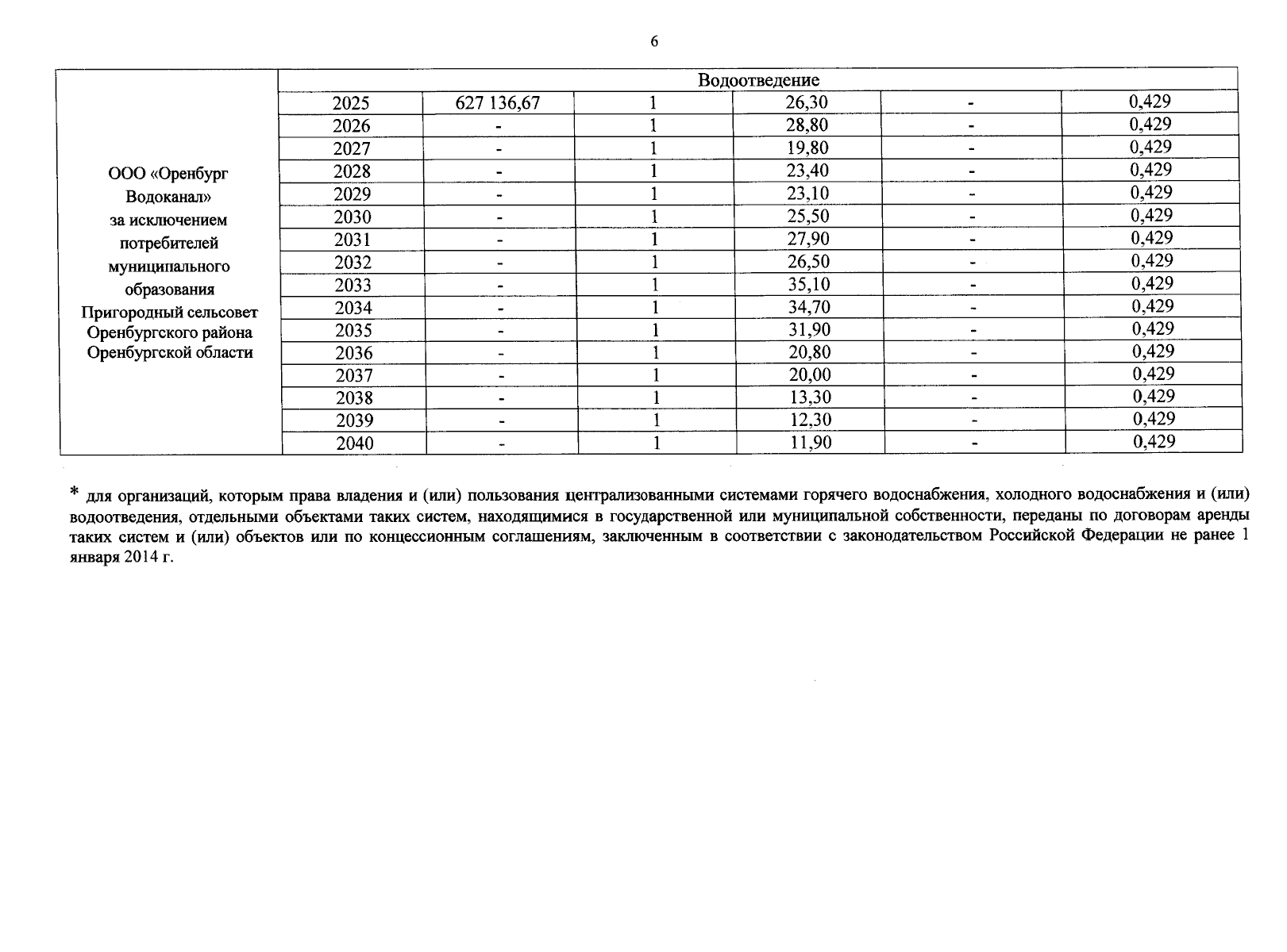
"Об установлении долгосрочных тарифов на питьевую воду (питьевое водоснабжение) и водоотведение и долгосрочных параметров регулирования, устанавливаемых на долгосрочный период регулирования 2025 - 2040 годов, для ООО "Оренбург Водоканал" (за исключением потребителей муниципального образования Пригородный сельсовет Оренбургского района Оренбургской области)"
(Зарегистрирован 16.12.2024 № 0184/2024/18 )
"Об установлении долгосрочных тарифов на питьевую воду (питьевое водоснабжение) и водоотведение и долгосрочных параметров регулирования, устанавливаемых на долгосрочный период регулирования 2025 - 2040 годов, для ООО "Оренбург Водоканал" (за исключением потребителей муниципального образования Пригородный сельсовет Оренбургского района Оренбургской области)"
(Зарегистрирован 16.12.2024 № 0184/2024/18 )
Номер опубликования: 5601202412190015
Дата опубликования:
19.12.2024
