Официальное опубликование правовых актов
ОФИЦИАЛЬНОЕ ОПУБЛИКОВАНИЕ
Приказ Инспекции государственной охраны объектов культурного наследия Оренбургской области от 13.12.2024 № 01-08-524
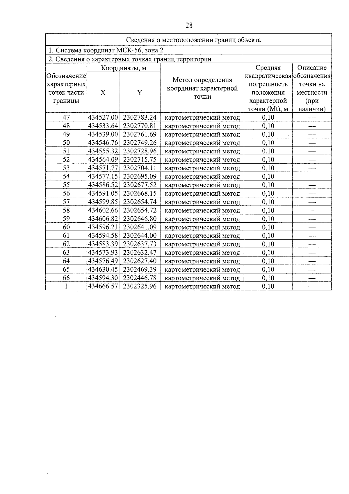
"О включении выявленного объекта культурного наследия в единый государственный реестр объектов культурного наследия (памятников истории и культуры) народов Российской Федерации в качестве объекта культурного наследия регионального значения (вид – достопримечательное место) "Бёрдская слобода", середина XVIII – начало XX вв. (Оренбургская область, город Оренбург, поселок Бёрды, улица Восстания, улица Хлопуши, улица Блюхера, улица Баумана, улица Державина, улица Жигулевская, улица Бердинская, переулок Красносельский), об утверждении предмета охраны, границ и режима использования территории объекта культурного наследия"
(Зарегистрирован 13.12.2024 № 0214/2024/22)
Номер опубликования: 5601202412130001
Дата опубликования: 13.12.2024
Страница №28 из 31:
Увеличить