Официальное опубликование правовых актов
ОФИЦИАЛЬНОЕ ОПУБЛИКОВАНИЕ
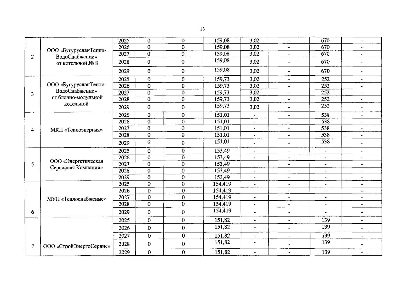
Приказ Департамента Оренбургской области по ценам и регулированию тарифов от 03.12.2024 № 139-т/э
"Об установлении тарифов на тепловую энергию (мощность), поставляемую теплоснабжающими организациями потребителям Оренбургской области на 2025-2029 годы"
(Зарегистрирован 04.12.2024 № 0105/2024/18)
Номер опубликования: 5601202412060021
Дата опубликования: 06.12.2024
Страница №13 из 14:
Увеличить