Официальное опубликование правовых актов
ОФИЦИАЛЬНОЕ ОПУБЛИКОВАНИЕ
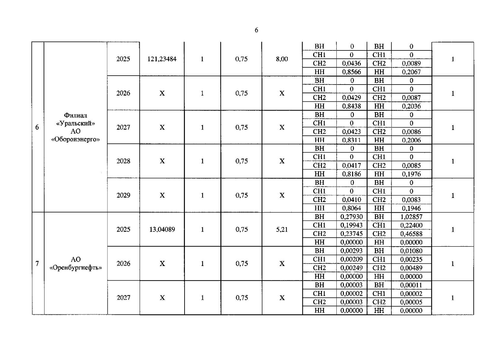
Приказ Департамента Оренбургской области по ценам и регулированию тарифов от 26.11.2024 № 103-э/э
"Об установлении долгосрочных параметров регулирования для территориальных сетевых организаций, в отношении которых тарифы на услуги по передаче электрической энергии устанавливаются на основе долгосрочных параметров деятельности территориальных сетевых организаций, на 2025-2029 годы"
(Зарегистрирован 27.11.2024 № 0069/2024/18)
Номер опубликования: 5601202411280002
Дата опубликования: 28.11.2024
Страница №6 из 9:
Увеличить