Официальное опубликование правовых актов
ОФИЦИАЛЬНОЕ ОПУБЛИКОВАНИЕ
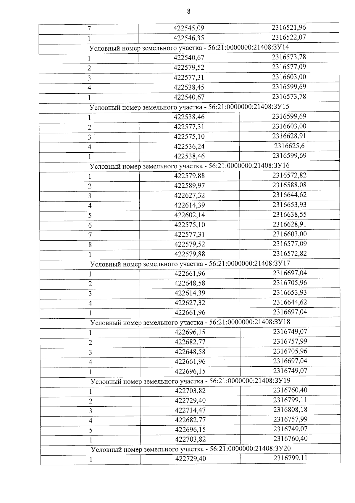
Распоряжение Министерства архитектуры и пространственно-градостроительного развития Оренбургской области от 20.11.2024 № 29-р
"Об утверждении проекта межевания территории ТСН "Ивановское-1", расположенного на территории муниципального образования Ивановский сельсовет Оренбургского района Оренбургской области"
(Зарегистрирован 20.11.2024 № 0099/2024/02)
Номер опубликования: 5601202411220001
Дата опубликования: 22.11.2024
Страница №8 из 15:
Увеличить