Официальное опубликование правовых актов
ОФИЦИАЛЬНОЕ ОПУБЛИКОВАНИЕ
Распоряжение Министерства архитектуры и пространственно-градостроительного развития Оренбургской области от 16.09.2024 № 20-р
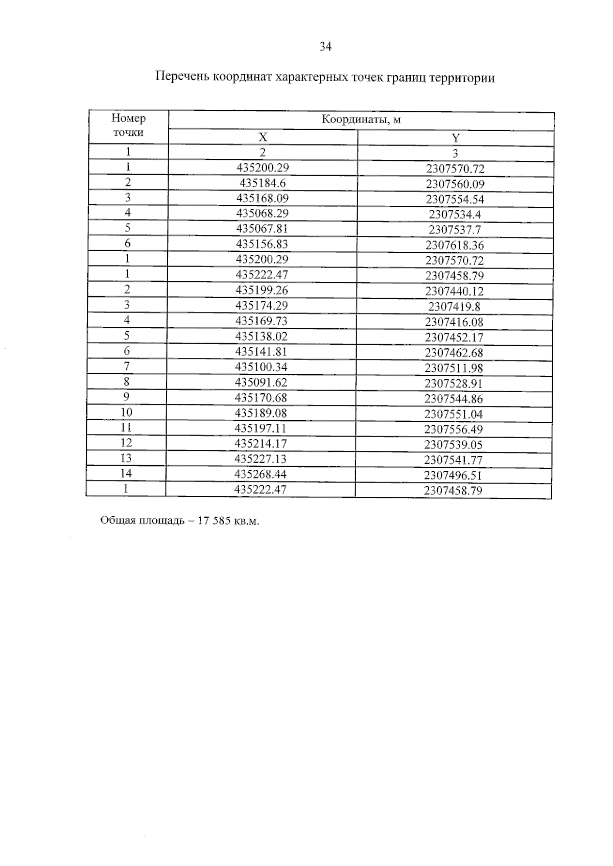
"О проведении конкурса на право заключения договора о комплексном развитии незастроенной территории площадью 1,7 га в границах земельного участка с кадастровым номером 56:44:0114002:4673 по улице Брестской города Оренбурга Оренбургской области"
(Зарегистрирован 16.09.2024 № 0080/2024/02)
Номер опубликования: 5601202409190002
Дата опубликования: 19.09.2024
Страница №34 из 48:
Увеличить