Официальное опубликование правовых актов
ОФИЦИАЛЬНОЕ ОПУБЛИКОВАНИЕ
Распоряжение Министерства архитектуры и пространственно-градостроительного развития Оренбургской области от 21.08.2024 № 18-р
"Об утверждении проекта планировки территории и проекта межевания территории, ограниченной улицей Оренбургской, улицей Астраханской, улицей Пролетарской и улицей Орской"
(Зарегистрирован 21.08.2024 № 0074/2024/02)
Номер опубликования: 5601202408230005
Дата опубликования: 23.08.2024
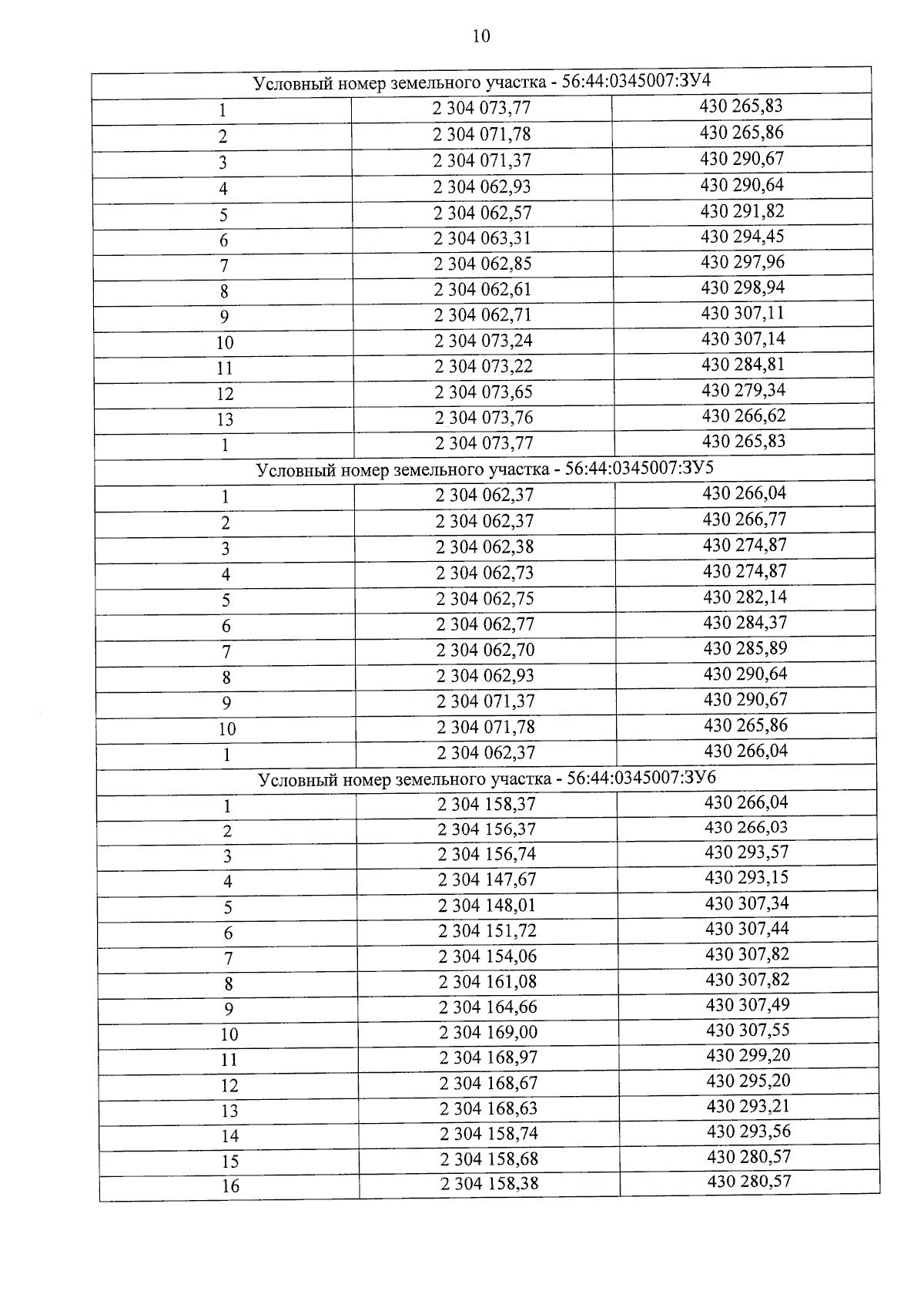
Страница №10 из 14:
Увеличить