Распоряжение Министерства архитектуры и пространственно-градостроительного развития Оренбургской области от 09.08.2024 № 17-р
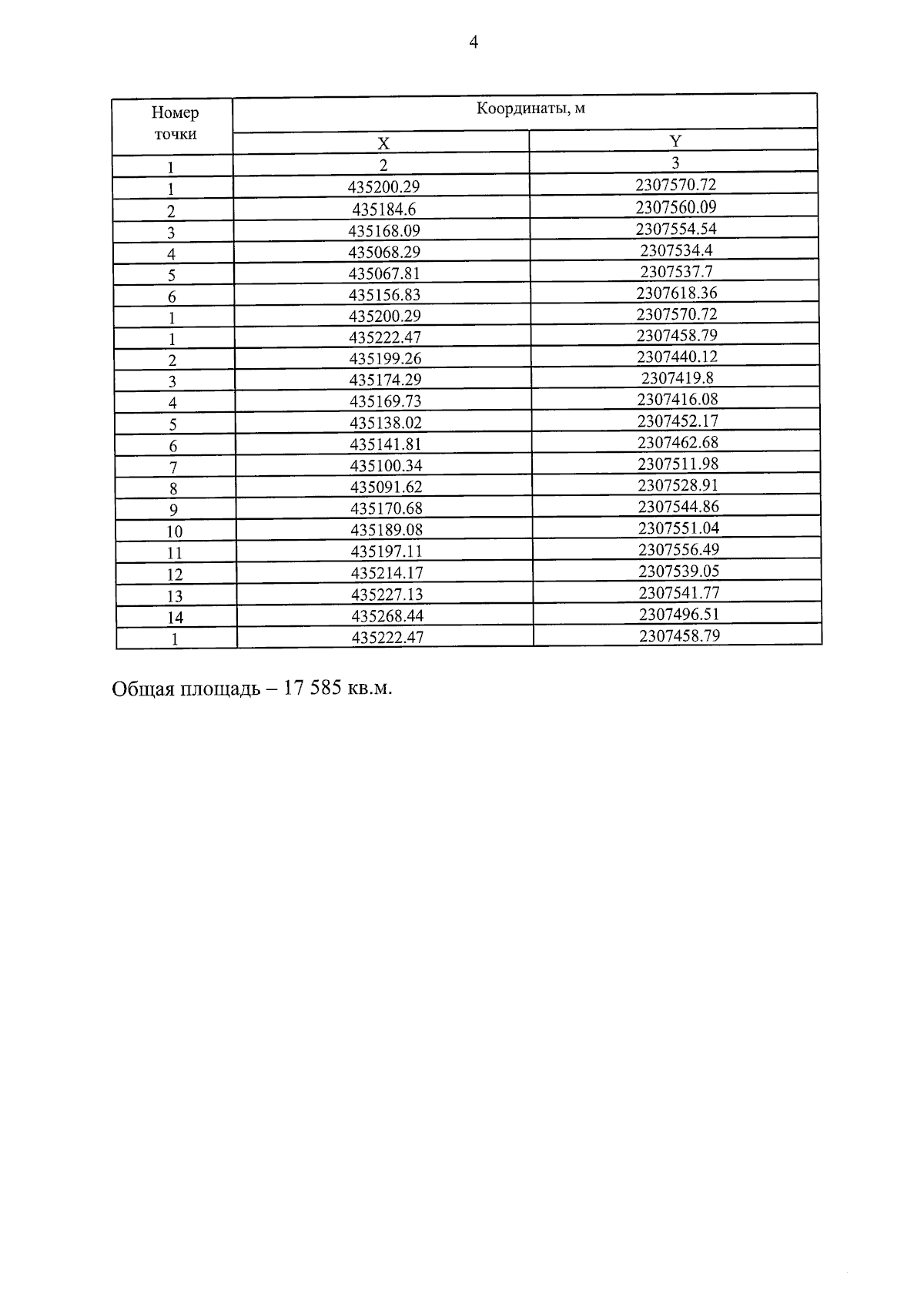
"О принятии решения о комплексном развитии незастроенной территории площадью 1,7 га в границах земельного участка с кадастровым номером 56:44:0114002:4673 по улице Брестской города Оренбурга Оренбургской области"
(Зарегистрирован 09.08.2024 № 0073/2024/02)
"О принятии решения о комплексном развитии незастроенной территории площадью 1,7 га в границах земельного участка с кадастровым номером 56:44:0114002:4673 по улице Брестской города Оренбурга Оренбургской области"
(Зарегистрирован 09.08.2024 № 0073/2024/02)
Номер опубликования: 5601202408140006
Дата опубликования:
14.08.2024
