Официальное опубликование правовых актов
ОФИЦИАЛЬНОЕ ОПУБЛИКОВАНИЕ
Распоряжение Министерства архитектуры и пространственно-градостроительного развития Оренбургской области от 24.05.2024 № 9-р
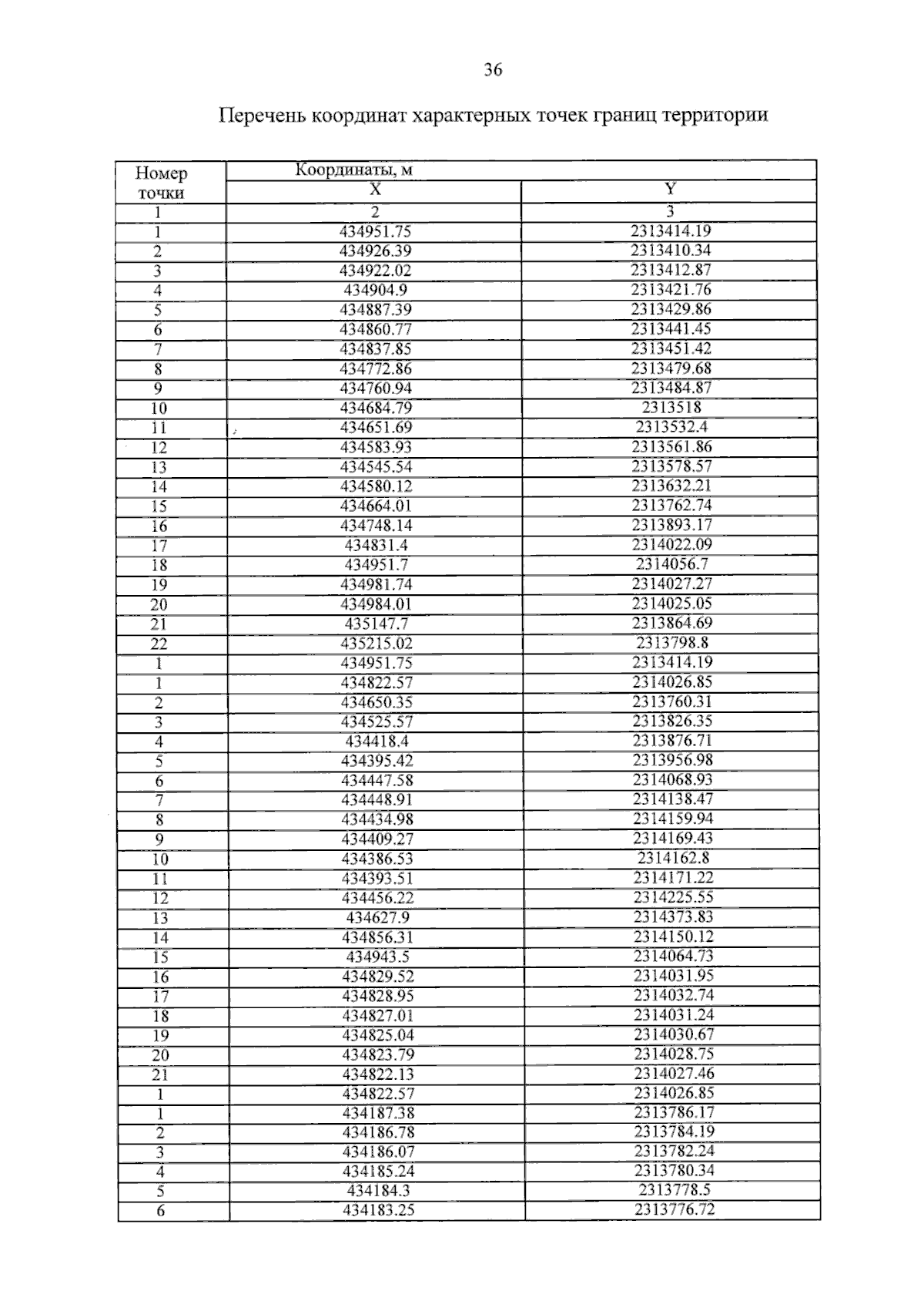
"О проведении конкурса на право заключения договора о комплексном развитии незастроенной территории площадью 54,7 га в границах земельного участка с кадастровым номером 56:44:0000000:40059"
(Зарегистрирован 30.05.2024 № 0042/2024/02)
Номер опубликования: 5601202406030002
Дата опубликования: 03.06.2024
Страница №36 из 63:
Увеличить