Официальное опубликование правовых актов
ОФИЦИАЛЬНОЕ ОПУБЛИКОВАНИЕ
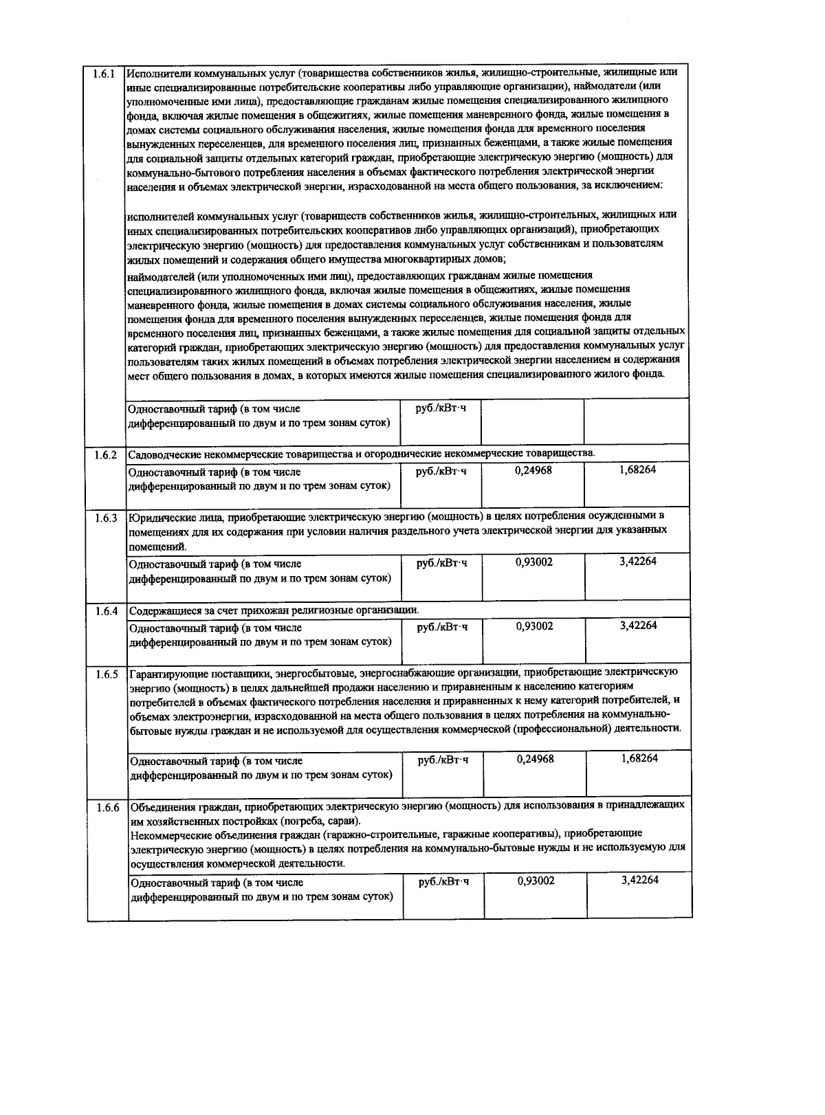
Приказ Департамента Оренбургской области по ценам и регулированию тарифов от 22.04.2024 № 24-э/э
"Об утверждении единых (котловых) тарифов на услуги по передаче электрической энергии по сетям Оренбургской области на 2024 год"
(Зарегистрирован 22.04.2024 № (0018/2024/18))
Номер опубликования: 5601202404250004
Дата опубликования: 25.04.2024
Страница №16 из 19:
Увеличить