Распоряжение Министерства архитектуры и пространственно-градостроительного развития Оренбургской области от 19.04.2024 № 6-р
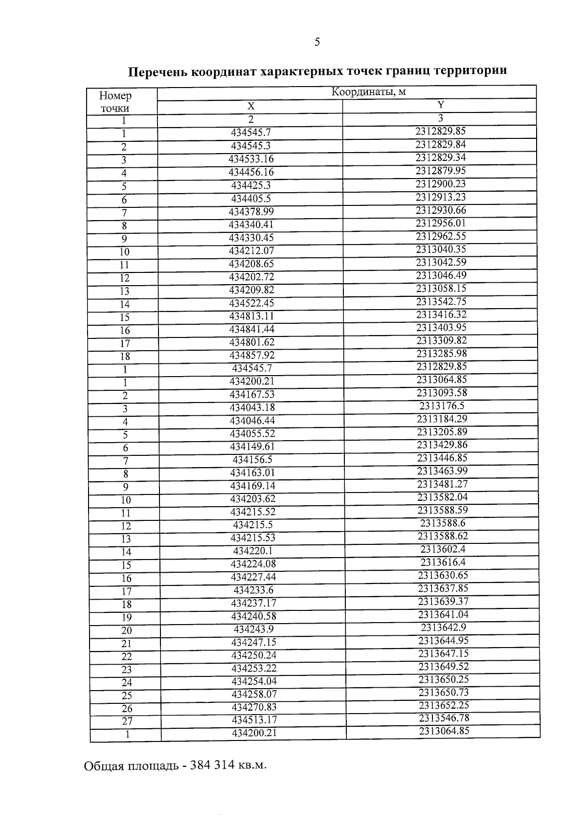
"О принятии решения о комплексном развитии незастроенной территории площадью 38,4 га в границах земельного участка с кадастровым номером 56:44:0201001:648"
(Зарегистрирован 19.04.2024 № 0034/2024/02)
"О принятии решения о комплексном развитии незастроенной территории площадью 38,4 га в границах земельного участка с кадастровым номером 56:44:0201001:648"
(Зарегистрирован 19.04.2024 № 0034/2024/02)
Номер опубликования: 5601202404230003
Дата опубликования:
23.04.2024
