Официальное опубликование правовых актов
ОФИЦИАЛЬНОЕ ОПУБЛИКОВАНИЕ
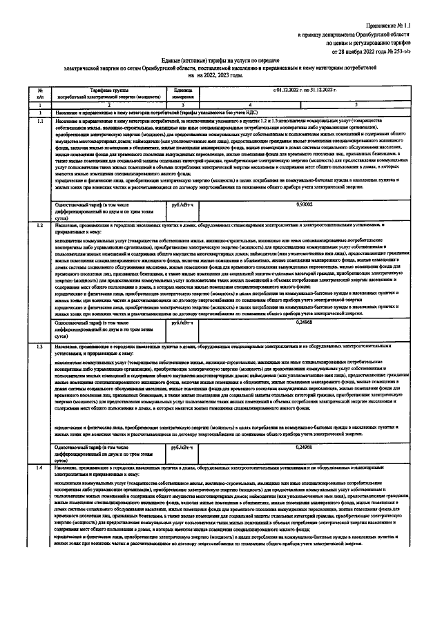
Приказ Департамента Оренбургской области по ценам и регулированию тарифов от 28.11.2022 № 253-э/э
"Об установлении единых (котловых) тарифов на услуги по передаче электрической энергии по сетям Оренбургской области на 2023 год"
Номер опубликования: 5601202211300012
Дата опубликования: 30.11.2022
Страница №12 из 13:
Увеличить