Официальное опубликование правовых актов
ОФИЦИАЛЬНОЕ ОПУБЛИКОВАНИЕ
Приказ Министерства социального развития Оренбургской области от 24.10.2022 № 610
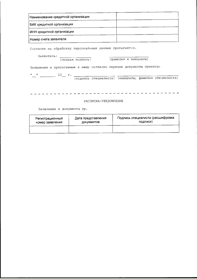
"Об утверждении форм заявлений о назначении единовременной материальной помощи лицам, призванным на военную службу по мобилизации в Вооруженные Силы Российской Федерации, лицам, заключившим контракт о добровольном содействии в выполнении задач, возложенных на Вооруженные Силы Российской Федерации, членам семьи умерших военнослужащих (добровольцев), проживающим на территории Оренбургской области, и списка для осуществления выплаты"
Номер опубликования: 5601202210270001
Дата опубликования: 27.10.2022
Страница №4 из 9:
Увеличить