Официальное опубликование правовых актов
ОФИЦИАЛЬНОЕ ОПУБЛИКОВАНИЕ
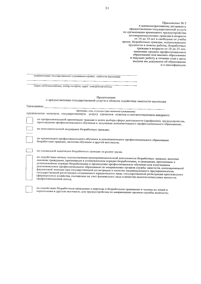
Приказ Министерства труда и занятости населения Оренбургской области от 04.10.2022 № 343
"Об утверждении административного регламента предоставления государственной услуги по организации временного трудоустройства несовершеннолетних граждан в возрасте от 14 до 18 лет в свободное от учебы время, безработных граждан, испытывающих трудности в поиске работы, безработных граждан в возрасте от 18 до 25 лет, имеющих среднее профессиональное образование или высшее образование и ищущих работу в течение года с даты выдачи им документа об образовании и о квалификации"
Номер опубликования: 5601202210070003
Дата опубликования: 07.10.2022
Страница №33 из 42:
Увеличить