Официальное опубликование правовых актов
ОФИЦИАЛЬНОЕ ОПУБЛИКОВАНИЕ
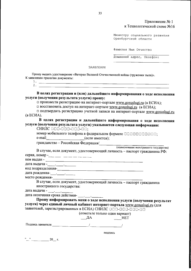
Приказ Министерства социального развития Оренбургской области от 14.09.2022 № 516
"О внесении изменения в приказ министерства социального развития Оренбургской области от 27.02.2018 № 134"
Номер опубликования: 5601202209160020
Дата опубликования: 16.09.2022
Страница №33 из 35:
Увеличить