Официальное опубликование правовых актов
ОФИЦИАЛЬНОЕ ОПУБЛИКОВАНИЕ
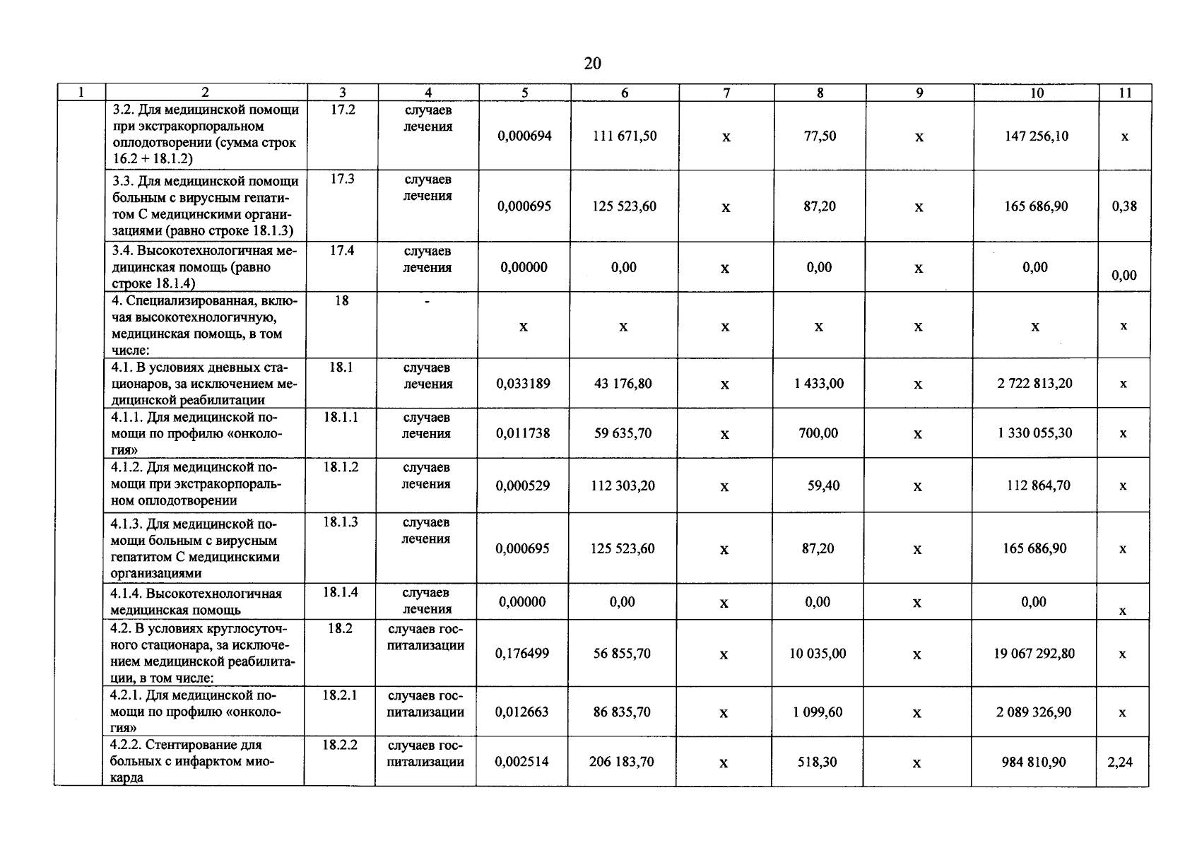
Постановление Правительства Оренбургской области от 24.12.2025 № 1540-пп
"О внесении изменений в постановление Правительства Оренбургской области от 25.12.2024 № 1320-пп"
Номер опубликования: 5600202512260053
Дата опубликования: 26.12.2025
Страница №20 из 31:
Увеличить