Официальное опубликование правовых актов
ОФИЦИАЛЬНОЕ ОПУБЛИКОВАНИЕ
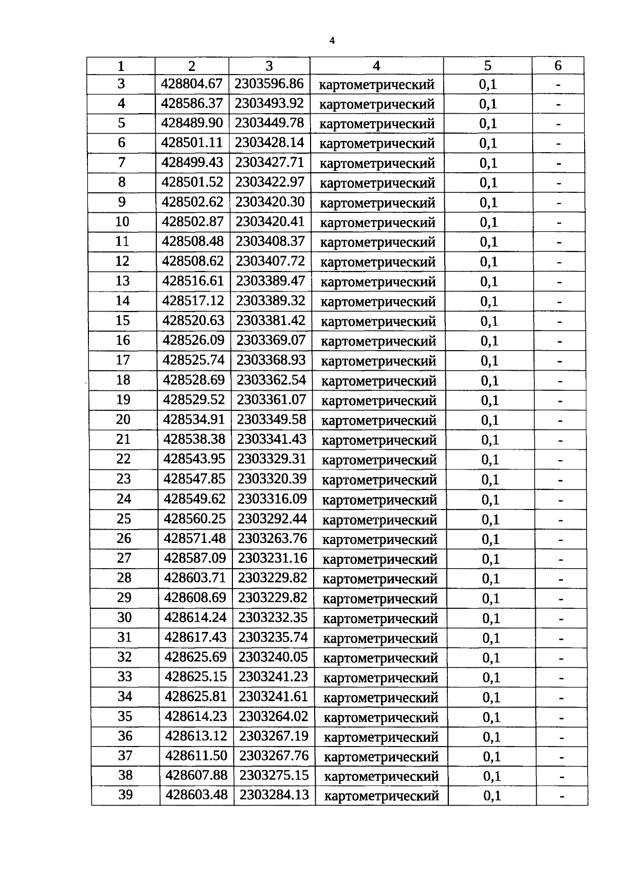
Постановление Правительства Оренбургской области от 07.11.2025 № 1245-пп
"Об установлении зон охраны, утверждении требований к градостроительным регламентам в границах территорий зон охраны объекта культурного наследия (памятника истории и культуры) народов Российской Федерации регионального значения (вид – ансамбль) "Госпиталь", 2-е дес. XIX в. – нач. XX в."
Номер опубликования: 5600202511110001
Дата опубликования: 11.11.2025
Страница №4 из 12:
Увеличить