Официальное опубликование правовых актов
ОФИЦИАЛЬНОЕ ОПУБЛИКОВАНИЕ
Постановление Правительства Оренбургской области от 05.11.2025 № 1229-пп
"Об утверждении региональной программы "Развитие (модернизация) общественного транспорта в Оренбургской области"
Номер опубликования: 5600202511070009
Дата опубликования: 07.11.2025
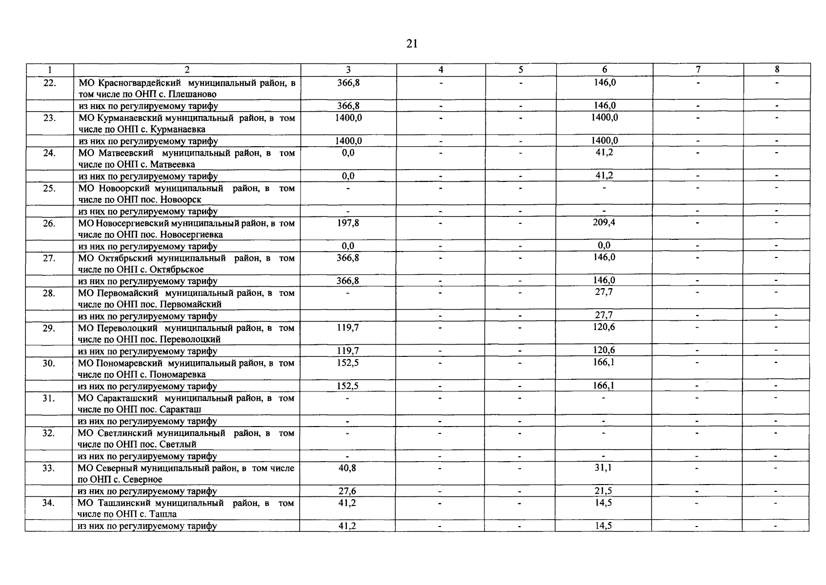
Страница №21 из 34:
Увеличить