Официальное опубликование правовых актов
ОФИЦИАЛЬНОЕ ОПУБЛИКОВАНИЕ
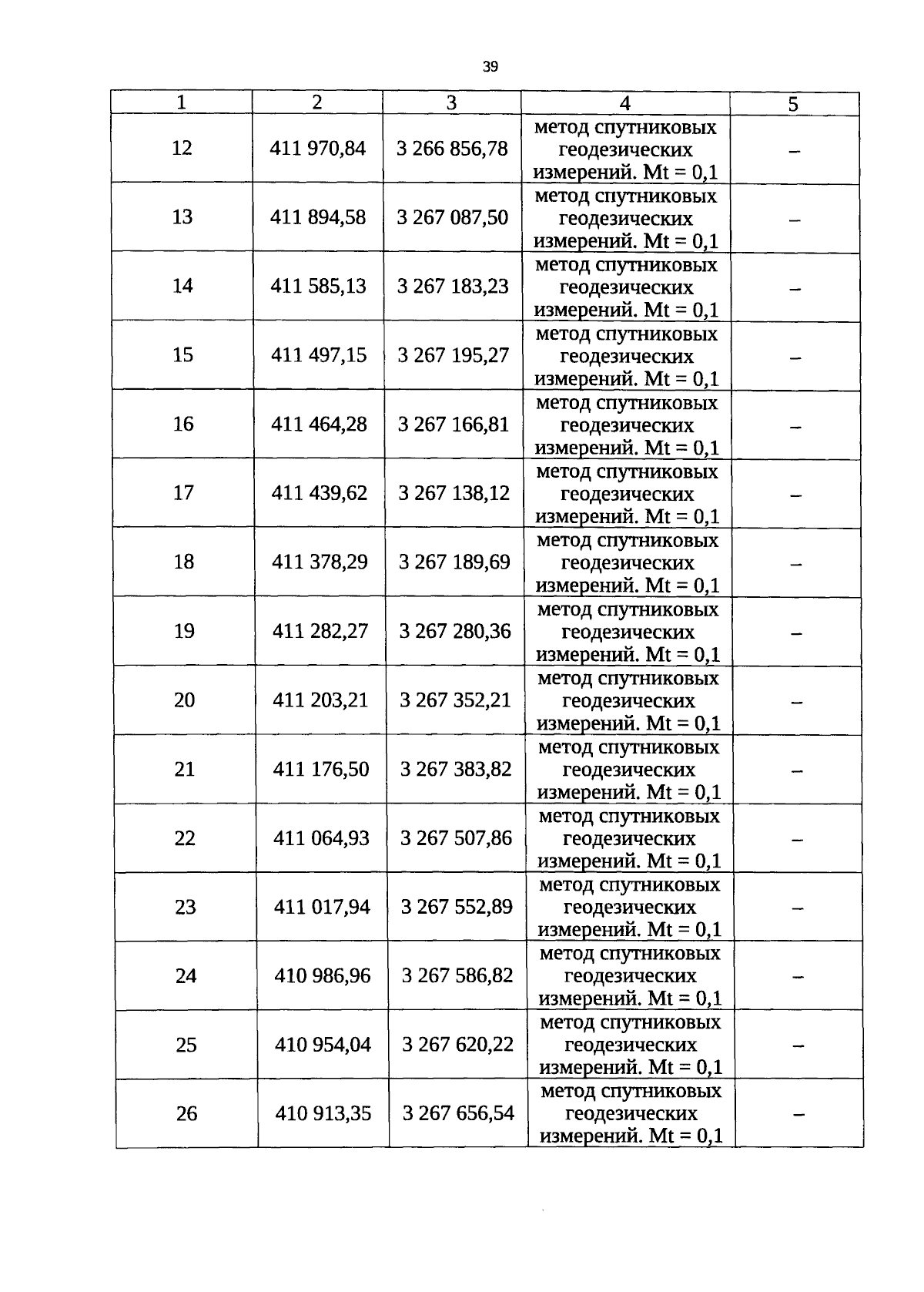
Постановление Правительства Оренбургской области от 05.11.2025 № 1240-пп
"Об утверждении границ охранных зон газораспределительных сетей и наложении ограничений на входящие в них земельные участки, расположенные на территории муниципального образования Кувандыкский муниципальный округ Оренбургской области"
Номер опубликования: 5600202511070003
Дата опубликования: 07.11.2025
Страница №39 из 91:
Увеличить