Официальное опубликование правовых актов
ОФИЦИАЛЬНОЕ ОПУБЛИКОВАНИЕ
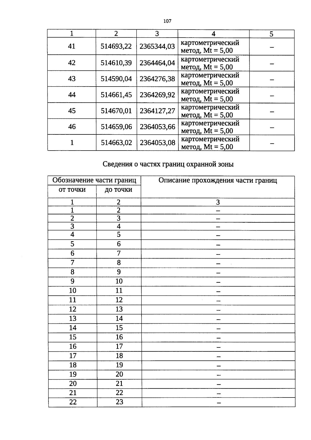
Постановление Правительства Оренбургской области от 30.09.2025 № 1062-пп
"Об утверждении границ охранных зон газораспределительных сетей и наложении ограничений на входящие в них земельные участки, расположенные на территориях муниципальных образований Оренбургский муниципальный район Оренбургской области, Тюльганский муниципальный район Оренбургской области"
Номер опубликования: 5600202510060006
Дата опубликования: 06.10.2025
Страница №107 из 149:
Увеличить