Официальное опубликование правовых актов
ОФИЦИАЛЬНОЕ ОПУБЛИКОВАНИЕ
Постановление Правительства Оренбургской области от 02.09.2025 № 926-пп
"О внесении изменения в постановление Правительства Оренбургской области от 06.03.2024 № 174-пп"
Номер опубликования: 5600202509050014
Дата опубликования: 05.09.2025
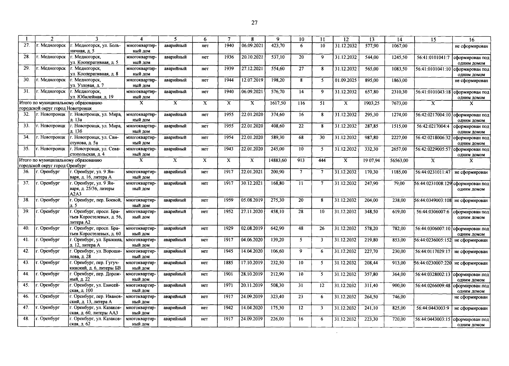
Страница №27 из 81:
Увеличить