Официальное опубликование правовых актов
ОФИЦИАЛЬНОЕ ОПУБЛИКОВАНИЕ
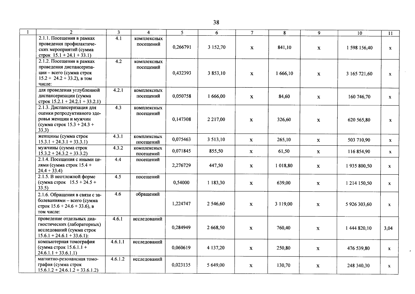
Постановление Правительства Оренбургской области от 02.09.2025 № 929-пп
"О внесении изменений в постановление Правительства Оренбургской области от 25.12.2024 № 1320-пп"
Номер опубликования: 5600202509050010
Дата опубликования: 05.09.2025
Страница №38 из 76:
Увеличить