Официальное опубликование правовых актов
ОФИЦИАЛЬНОЕ ОПУБЛИКОВАНИЕ
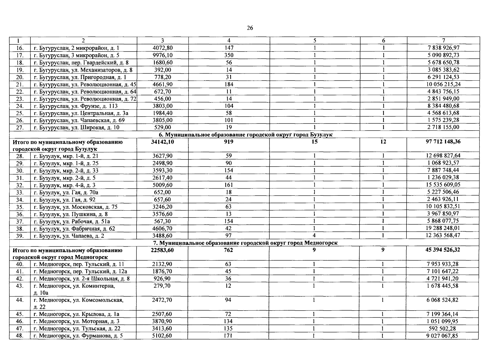
Постановление Правительства Оренбургской области от 24.06.2025 № 579-пп
"О внесении изменения в постановление Правительства Оренбургской области от 27 сентября 2022 года № 1014-пп"
Номер опубликования: 5600202506270004
Дата опубликования: 27.06.2025
Страница №26 из 236:
Увеличить