Официальное опубликование правовых актов
ОФИЦИАЛЬНОЕ ОПУБЛИКОВАНИЕ
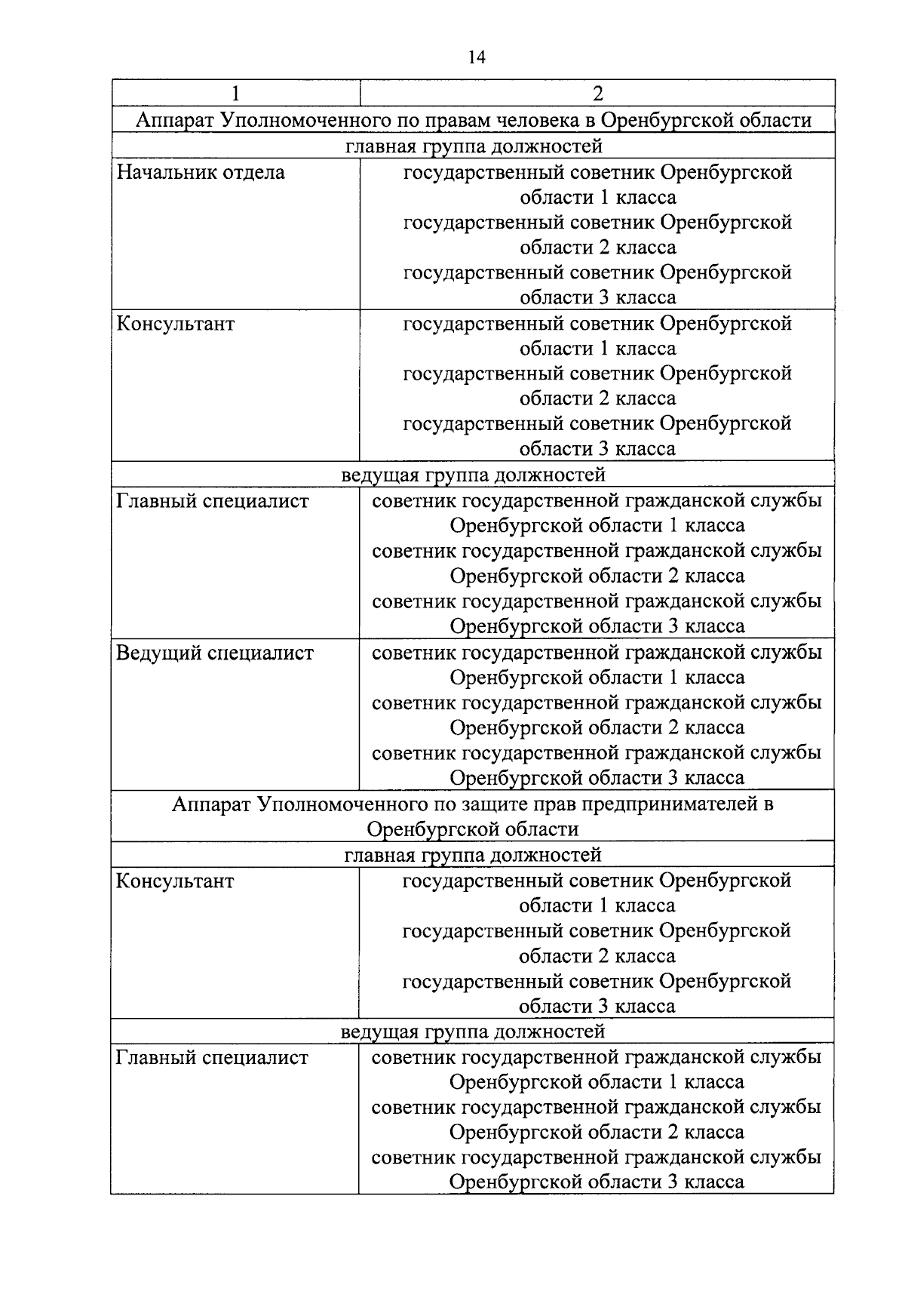
Закон Оренбургской области от 17.06.2025 № 1537/650-VII-OЗ
"О внесении изменений в Закон Оренбургской области "О порядке присвоения и сохранения классных чинов государственной гражданской службы государственным гражданским служащим Оренбургской области"
Номер опубликования: 5600202506170010
Дата опубликования: 17.06.2025
Страница №21 из 22:
Увеличить