Официальное опубликование правовых актов
ОФИЦИАЛЬНОЕ ОПУБЛИКОВАНИЕ
Постановление Правительства Оренбургской области от 18.04.2025 № 370-пп
"О внесении изменений в постановление Правительства Оренбургской области от 25.12.2024 № 1320-пп"
Номер опубликования: 5600202504240012
Дата опубликования: 24.04.2025
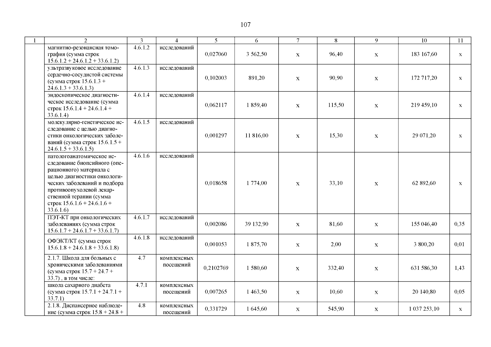
Страница №107 из 182:
Увеличить