Официальное опубликование правовых актов
ОФИЦИАЛЬНОЕ ОПУБЛИКОВАНИЕ
Постановление Правительства Оренбургской области от 24.03.2025 № 287-пп
"О внесении изменений в постановление Правительства Оренбургской области от 30 декабря 2013 года № 1263-пп"
Номер опубликования: 5600202504010007
Дата опубликования: 01.04.2025
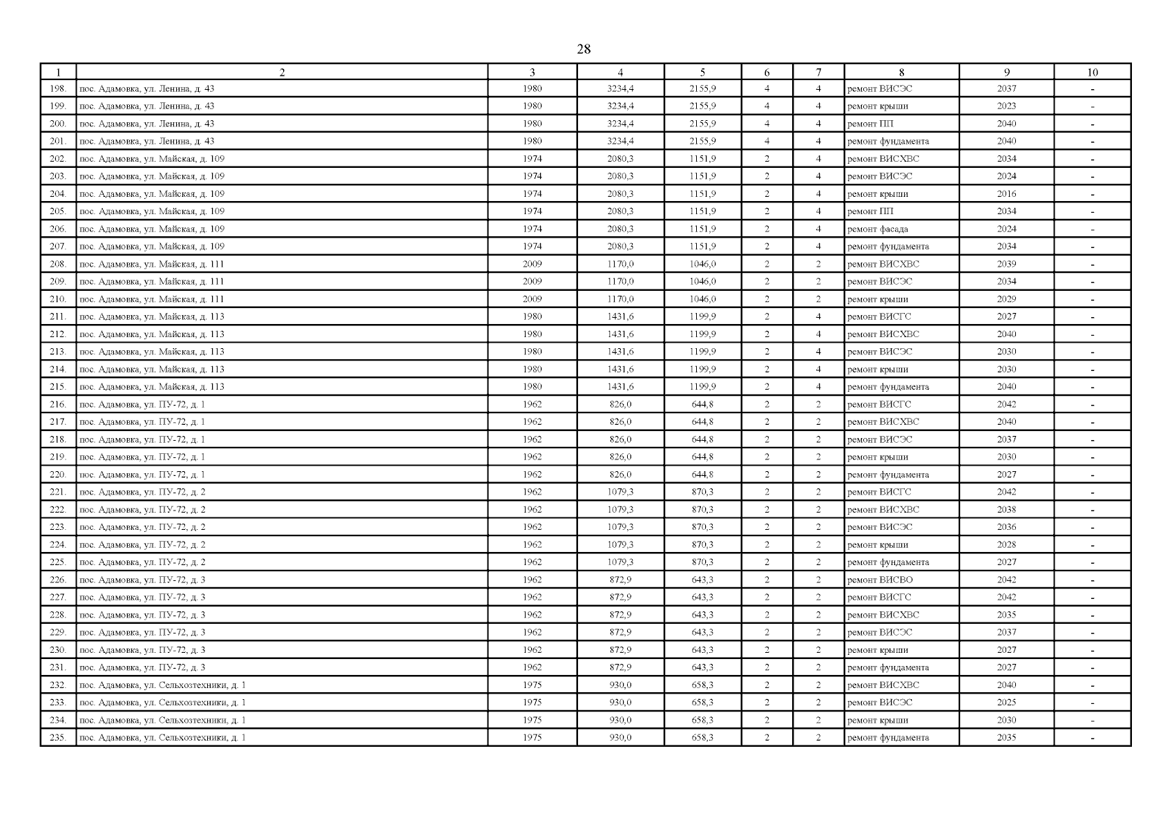
Страница №28 из 1770:
Увеличить