Официальное опубликование правовых актов
ОФИЦИАЛЬНОЕ ОПУБЛИКОВАНИЕ
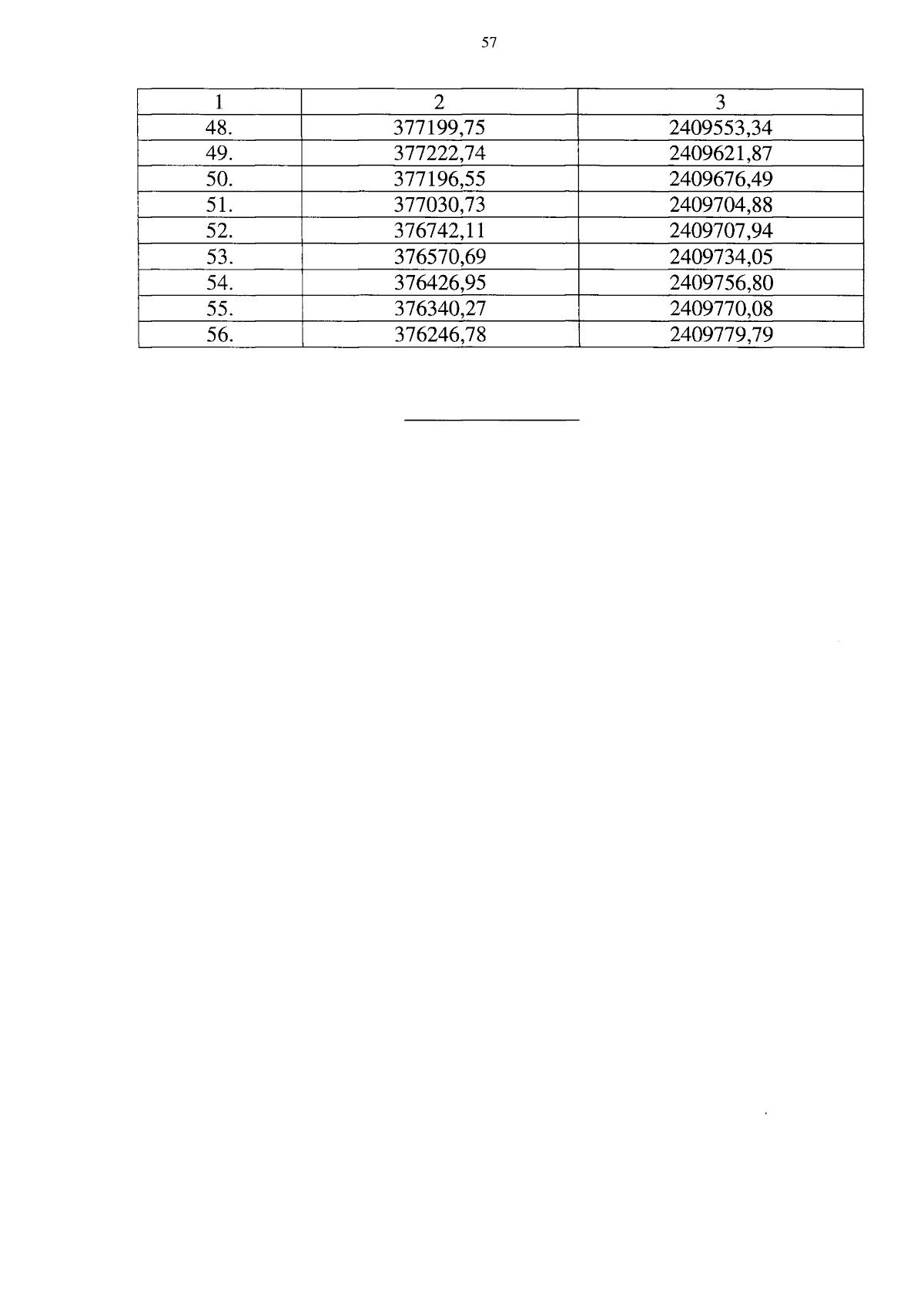
Указ Губернатора Оренбургской области от 13.02.2025 № 75-ук
"О создании охранных зон памятников природы областного значения, расположенных на территории Беляевского района Оренбургской области"
Номер опубликования: 5600202502180025
Дата опубликования: 18.02.2025
Страница №57 из 59:
Увеличить