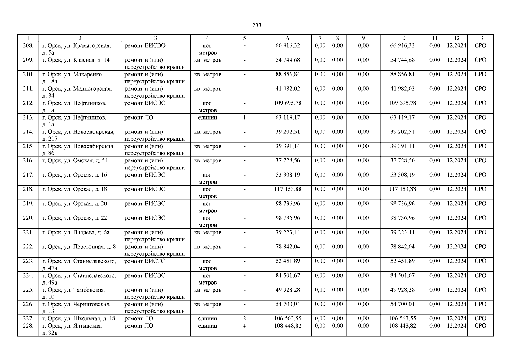
Постановление Правительства Оренбургской области от 25.12.2024 № 1223-пп
"О внесении изменений в постановление Правительства Оренбургской области от 27 сентября 2022 года № 1014-пп"
"О внесении изменений в постановление Правительства Оренбургской области от 27 сентября 2022 года № 1014-пп"
Номер опубликования: 5600202501040060
Дата опубликования:
04.01.2025
