Официальное опубликование правовых актов
ОФИЦИАЛЬНОЕ ОПУБЛИКОВАНИЕ
Постановление Правительства Оренбургской области от 25.12.2024 № 1320-пп
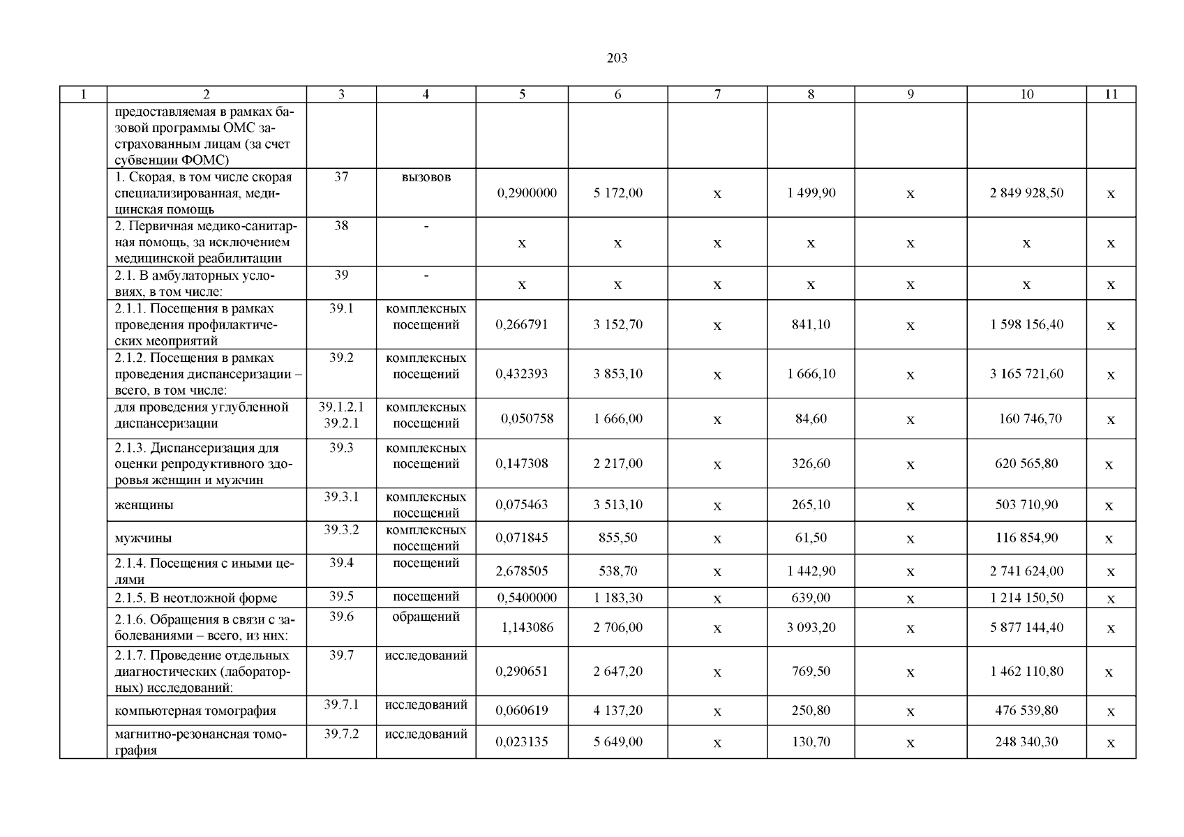
"О территориальной программе государственных гарантий бесплатного оказания гражданам на территории Оренбургской области медицинской помощи на 2025 год и на плановый период 2026 и 2027 годов"
Номер опубликования: 5600202501040053
Дата опубликования: 04.01.2025
Страница №203 из 240:
Увеличить