Официальное опубликование правовых актов
ОФИЦИАЛЬНОЕ ОПУБЛИКОВАНИЕ
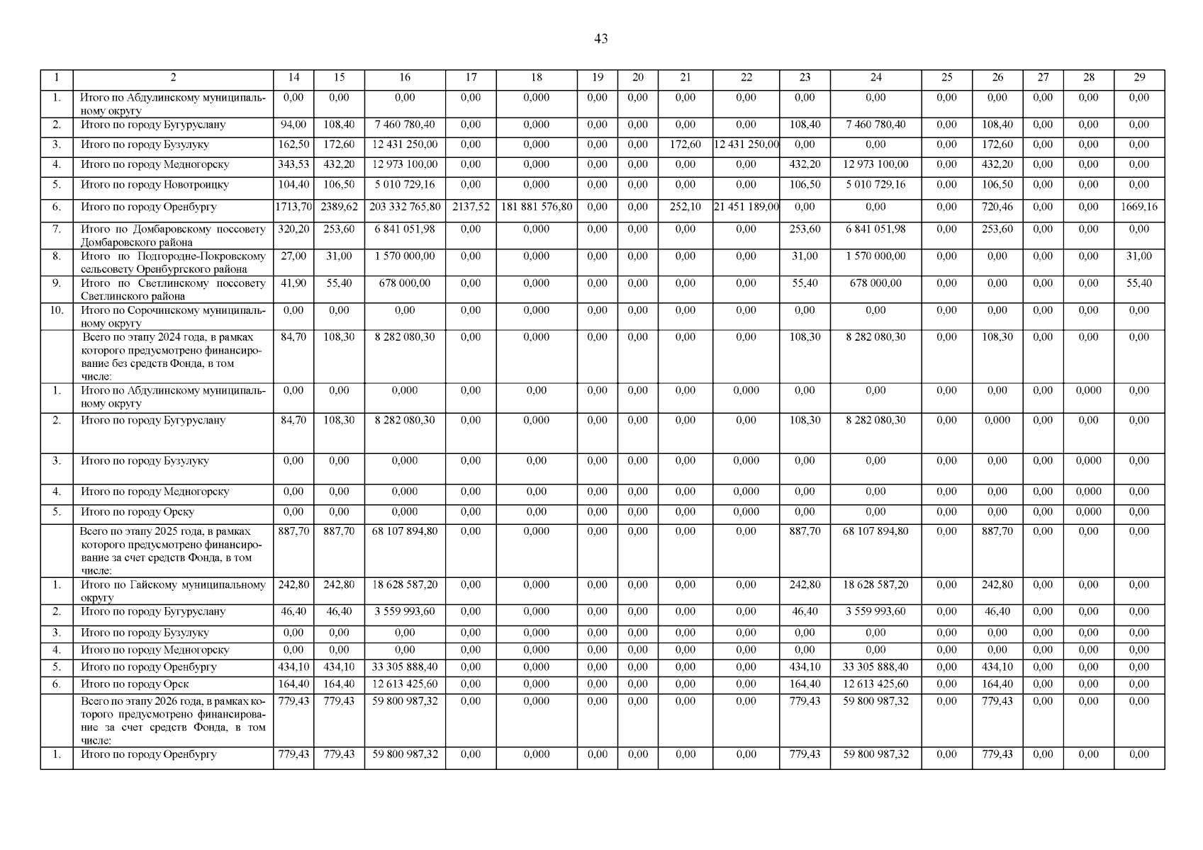
Постановление Правительства Оренбургской области от 25.12.2024 № 1231-пп
"О внесении изменений в постановление Правительства Оренбургской области от 06.03.2024 № 174-пп"
Номер опубликования: 5600202501040002
Дата опубликования: 04.01.2025
Страница №43 из 77:
Увеличить