Официальное опубликование правовых актов
ОФИЦИАЛЬНОЕ ОПУБЛИКОВАНИЕ
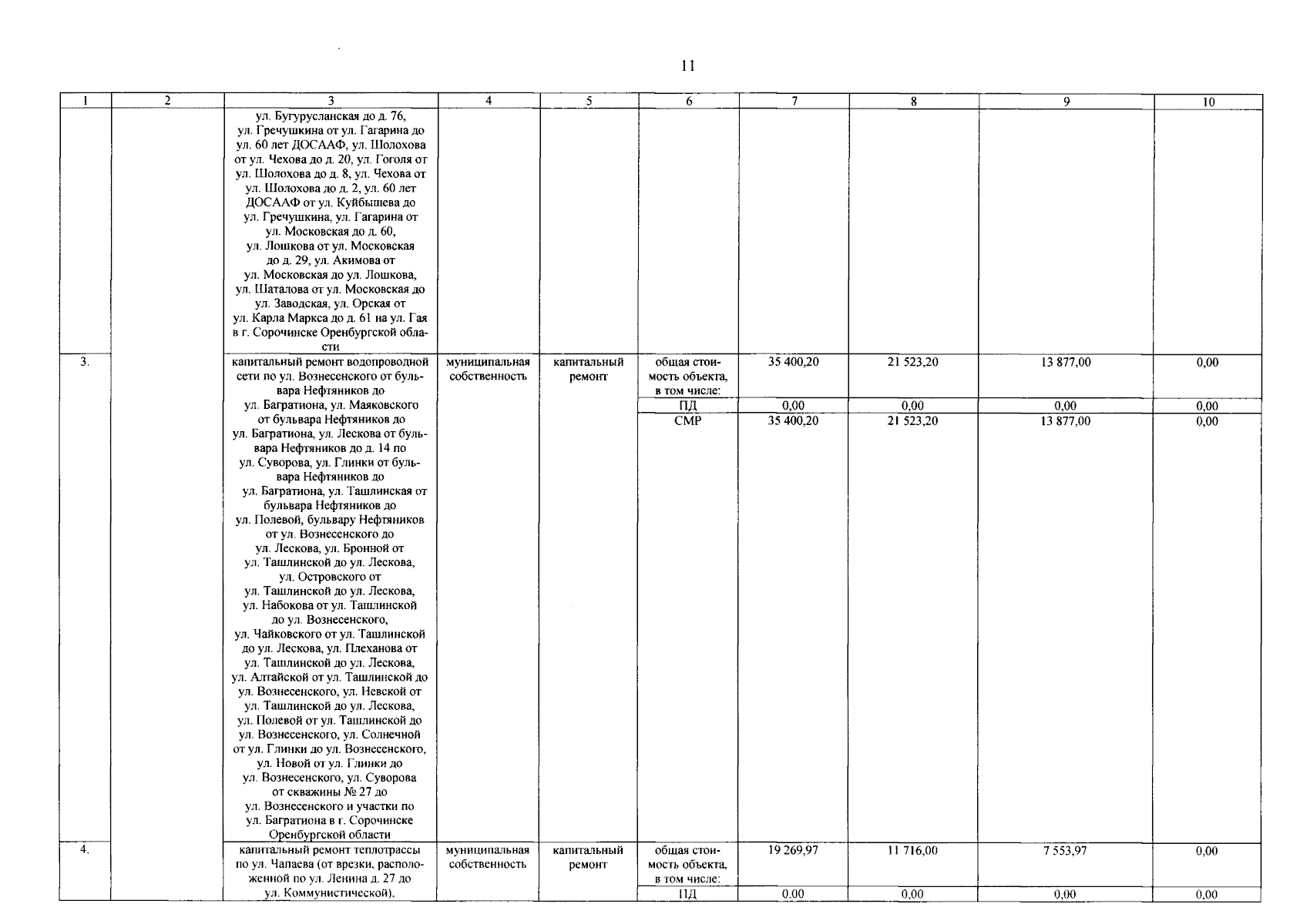
Постановление Правительства Оренбургской области от 25.12.2024 № 1219-пп
"Об утверждении региональной программы "Модернизация коммунальной инфраструктуры на территории Оренбургской области на 2025–2030 годы"
Номер опубликования: 5600202412280048
Дата опубликования: 28.12.2024
Страница №11 из 29:
Увеличить