Официальное опубликование правовых актов
ОФИЦИАЛЬНОЕ ОПУБЛИКОВАНИЕ
Постановление Правительства Оренбургской области от 25.12.2024 № 1214-пп
"О внесении изменений в постановление Правительства Оренбургской области от 30 декабря 2013 года № 1263-пп"
Номер опубликования: 5600202412280045
Дата опубликования: 28.12.2024
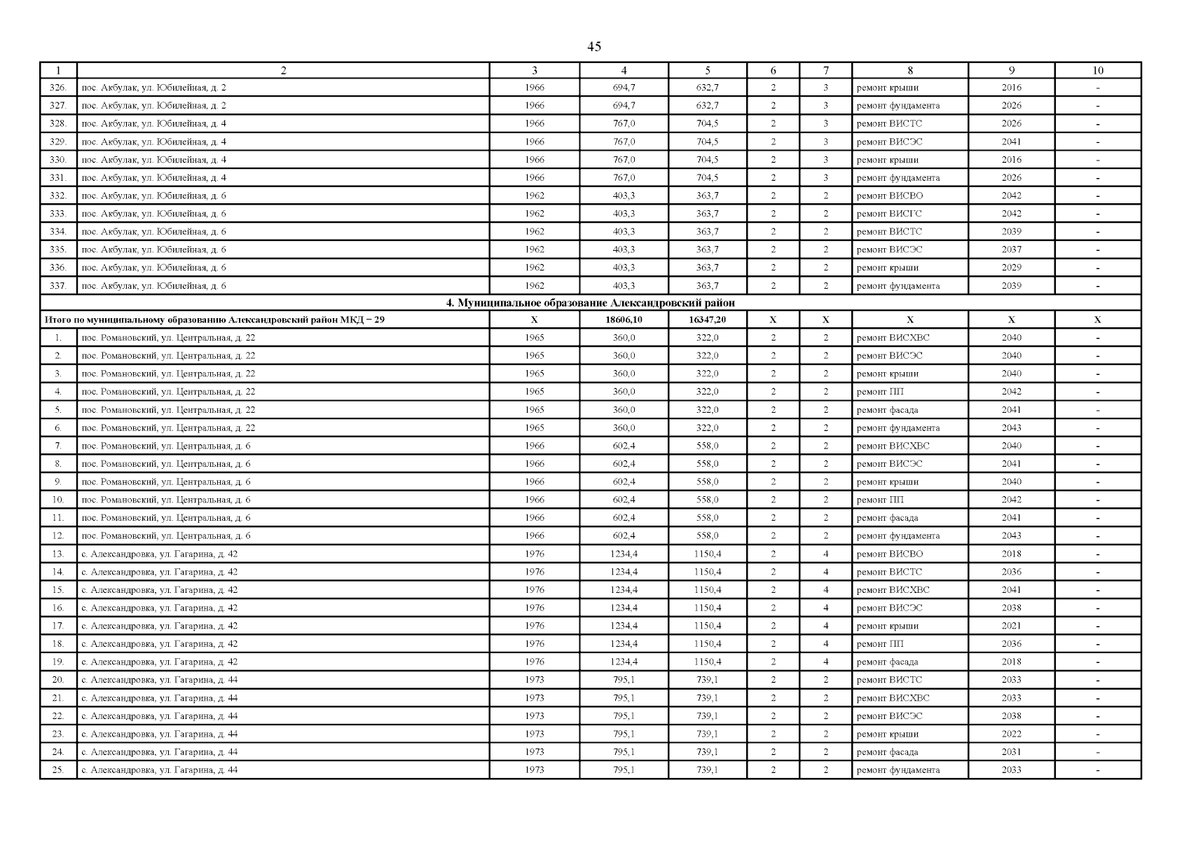
Страница №45 из 1773:
Увеличить