Официальное опубликование правовых актов
ОФИЦИАЛЬНОЕ ОПУБЛИКОВАНИЕ
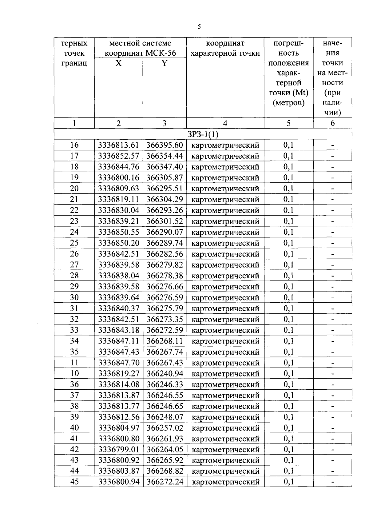
Постановление Правительства Оренбургской области от 25.12.2024 № 1176-пп
"Об установлении зон охраны, утверждении требований к градостроительным регламентам в границах территорий зон охраны объекта культурного наследия (памятника истории и культуры) народов Российской Федерации регионального значения "Дом купца И.П. Назарова", 1871 г."
Номер опубликования: 5600202412280006
Дата опубликования: 28.12.2024
Страница №5 из 12:
Увеличить