Официальное опубликование правовых актов
ОФИЦИАЛЬНОЕ ОПУБЛИКОВАНИЕ
Постановление Правительства Оренбургской области от 20.06.2024 № 540-пп
"О внесении изменения в постановление Правительства Оренбургской области от 30.12.2013 № 1263-пп"
Номер опубликования: 5600202406250014
Дата опубликования: 25.06.2024
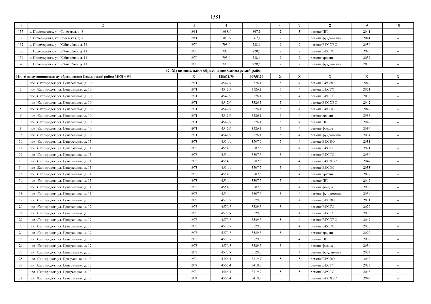
Страница №1581 из 1768:
Увеличить