Официальное опубликование правовых актов
ОФИЦИАЛЬНОЕ ОПУБЛИКОВАНИЕ
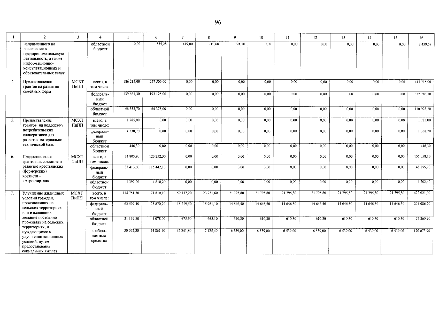
Постановление Правительства Оренбургской области от 17.04.2024 № 343-пп
"О внесении изменения в постановление Правительства Оренбургской области от 25.12.2019 № 976-пп"
Номер опубликования: 5600202404190007
Дата опубликования: 19.04.2024
Страница №96 из 102:
Увеличить