Официальное опубликование правовых актов
ОФИЦИАЛЬНОЕ ОПУБЛИКОВАНИЕ
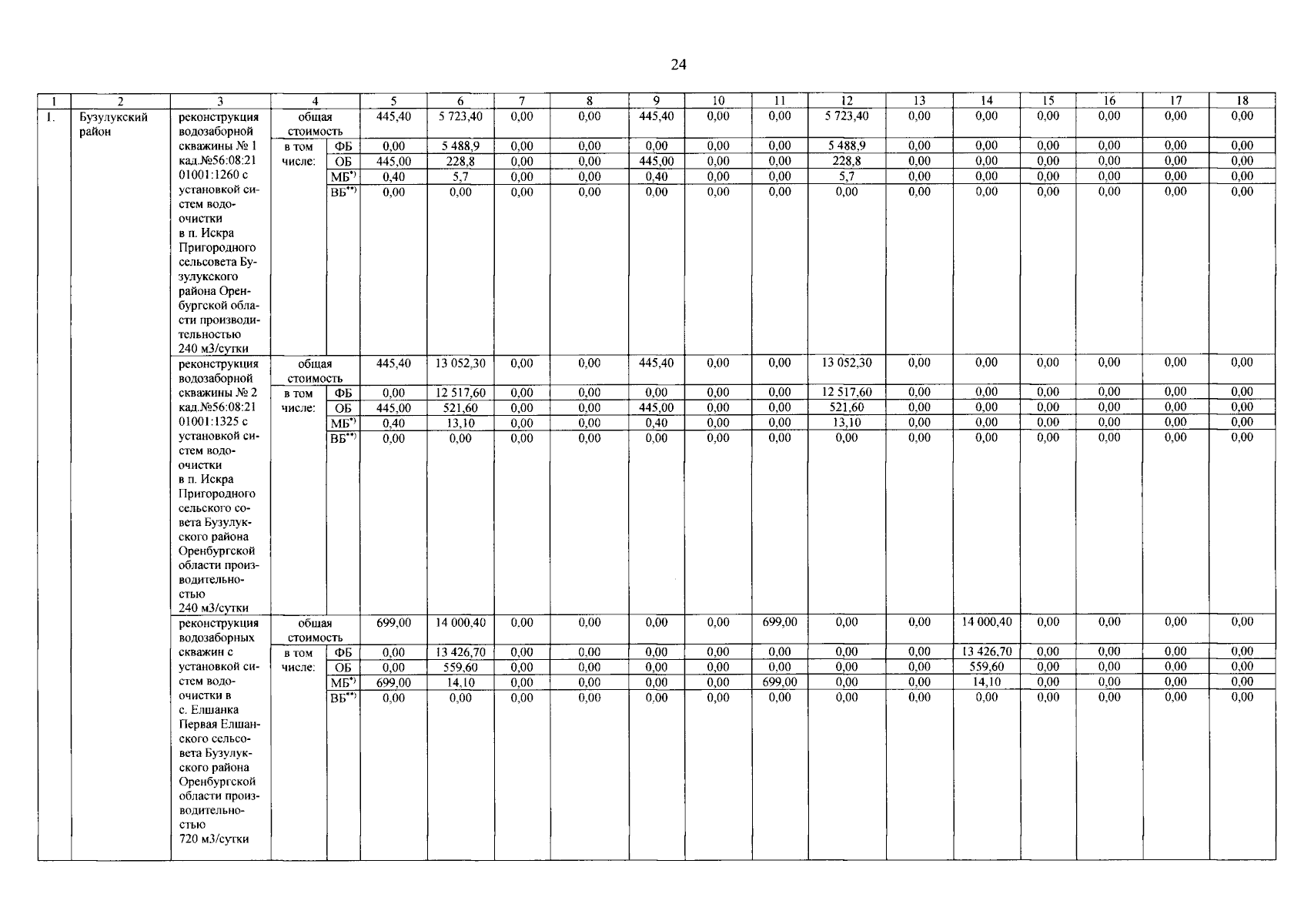
Постановление Правительства Оренбургской области от 14.03.2024 № 225-пп
"О внесении изменения в постановление Правительства Оренбургской области от 10.10.2019 № 775-пп"
Номер опубликования: 5600202403190005
Дата опубликования: 19.03.2024
Страница №24 из 40:
Увеличить