Официальное опубликование правовых актов
ОФИЦИАЛЬНОЕ ОПУБЛИКОВАНИЕ
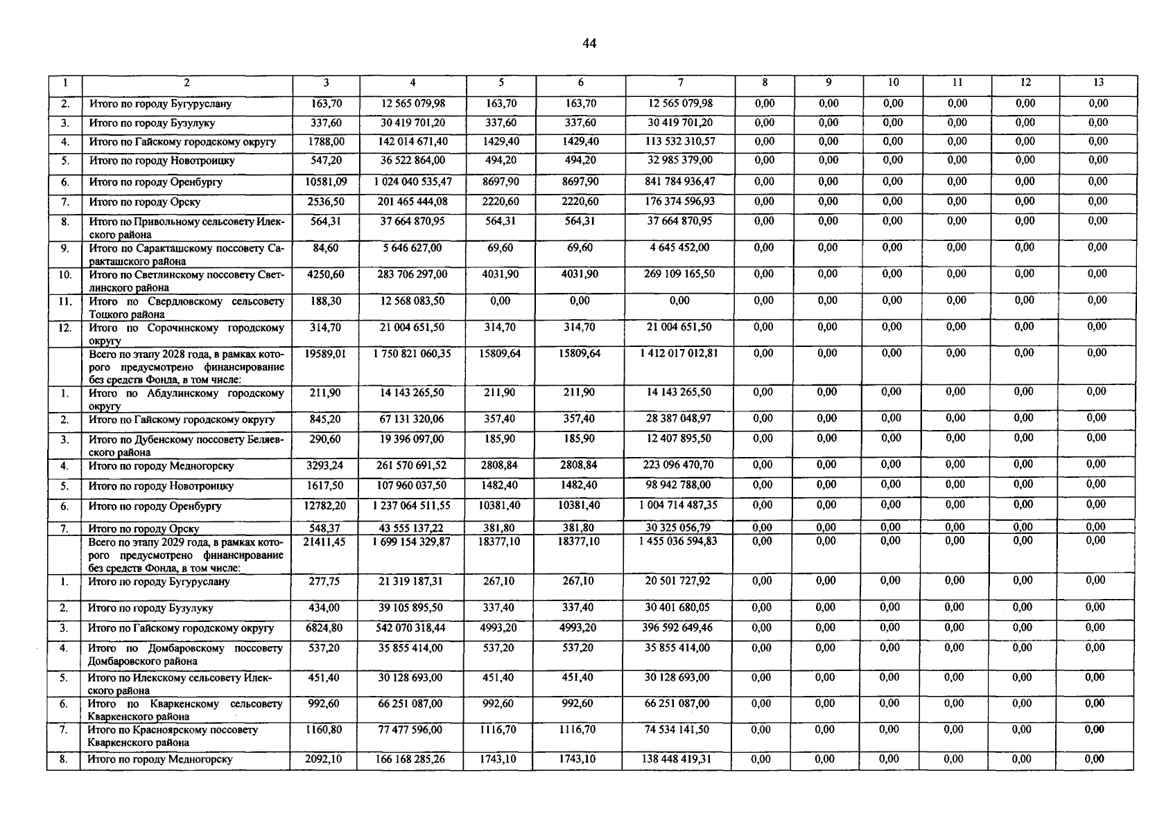
Постановление Правительства Оренбургской области от 06.03.2024 № 174-пп
"Об утверждении областной адресной программы "Переселение граждан из аварийного жилищного фонда Оренбургской области" на 2024–2030 годы"
Номер опубликования: 5600202403120009
Дата опубликования: 12.03.2024
Страница №44 из 72:
Увеличить